Сборник "Лучшее". Компиляция. Книги 1-9, стр. 453
— Слушай: «Эти иероглифы выдолбили жрецы бога Ра. Это стена. За стеной находится колодец Лотоса, как круг солнца; возле колодца положен один камень, одно долото, две тростинки. Одна тростинка имеет три меры, вторая имеет две меры. Тростинки скрещиваются всегда над поверхностью воды в колодце Лотоса, и эта поверхность является одной мерой выше дна. Кто сообщит числа наидлиннейшей прямой, содержащейся в ободе колодца Лотоса, возьмет обе тростинки, будет жрецом бога Ра.
Знай: каждый может стать перед стеной. Кто поймет дело рук жрецов Ра, тому откроется стена для входа. Но знай: когда ты войдешь, то будешь замурован. Выйдешь с тростинками жрецом Ра. Помни: замурованный, ты выбей на камне цифры, подай камень. Однако помни: подать надо только один камень. Верь, жрецы Ра будут наготове, первосвященники подтвердят, таковы ли на самом деле выбитые тобой цифры. Но верь, сквозь стену колодца Лотоса прошли многие, но немногие стали жрецами бога Ра. Думай. Цени свою жизнь. Так советуют тебе жрецы Ра».
— Как это понять? — спросил граф.
— Ради этого я и просил тебя приехать. Очевидно, здесь проходили испытания претенденты на сан жреца Ра. Их замуровывали за стеной до тех пор, пока те или решали задачу, передавая через отверстие для света и воздуха камень с выдолбленным ответом, или умирали там от истощения и бессилия.
— И вы откопали эту экзаменационную аудиторию?
— Конечно. Мы можем пройти в нее. Тростинок там не сохранилось, так же, как и колодца, но камень для ответа и даже медное долото лежат на месте. Пройдем. Для нас это не так опасно, как для древних испытуемых.
— Прекрасно! — отозвался граф и храбро шагнул в пролом стены.
Они оказались в небольшом помещении, напоминавшем каменный мешок. Свет проникал через пройденный ими проем и маленькое отверстие, сделанное как раз по размеру лежащего на полу камня из мягкого известняка. Рядом виднелось медное долото.
— Должно быть, немного верных ответов было выбито этим долотом, — сказал археолог, поднимая его с полу.
— Почему ты так думаешь?
— Я бился над этой задачей несколько дней. Но я завтракал, обедал, ужинал регулярно. Боюсь, что в этой камере жрецов остались бы мои кости.
— Прекрасно, — задумчиво повторил граф, — Попробуем перевести твою надпись еще раз. На математический язык. И сопроводим это чертежом на этой тысячелетней ныли.
И граф, взяв у Детрие долото, нарисовал им на пыльном полу камеры чертеж, говоря при этом:
— Колодец — это прямой цилиндр. Два жестких прута (тростинки). Один длиной два метра, другой — три, приставлены к основанию цилиндра, скрещиваясь на уровне предполагаемой воды в одном метре от дна. Легко понять, что сумма проекций на дно мокрых или сухих частей тростинок будет равна по диаметру — наидлиннейшей прямой, содержащейся в ободе колодца Лотоса, как говорится на языке жрецов.
— Мы обнаружили остатки ободов колодца, но сами они, увы, не сохранились.
— А жаль! Можно было бы вычислить длину царского локтя, которая поныне остается загадкой.
— Ты можешь вычислить?
— Если ты меня замуруешь здесь.
— Ты шутишь?
— Нимало! Я уже считаю себя замурованным. Я мысленно возвожу в проеме каменную стену. Ты можешь оставить меня здесь. Я не проглочу ни крупинки еды, не выпью ни капли влаги, даже вина… пока не решу древней задачи. Жди моего сигнала в окошечке «Свет — воздух».
Детрие знал чудачества своего друга и не стал с ним спорить. Он оставил математика в каменной комнате, напоминавшей склеп, наедине с древней задачей жрецов. Интересно, имел ли шансы математик пройти испытание на сан жреца Ра четырехтысячелетней давности?
Выйдя в просторный зал, Детрие оглянулся. Ему показалось, что вынутые его рабочими гранитные плиты каким-то чудом снова водрузились на место, превратив стену зала в сплошной монолит. Археолог даже затряс головой, чтобы отогнать видение.
Во всяком случае, математик имел право на уединение для решения, быть может, сложной задачи, которая археологу оказалась не по плечу.
Детрие вышел на воздух.
Пахнуло жарой. Солнце стояло над головой. До обеда было еще далеко. Детрие, любивший поесть, вздохнул, представляя себе накрытый в ресторане стол.
Проводник в бурнусе держал под уздцы двух лошадей, укрыв их в тени. По Нилу плыли лодки с высоко поднятой кормой и загнутым носом. В небе — ни облачка.
Детрие сел в тени колонны и погрузился в раздумье. В его воображении вставали жрецы Ра, владевшие математическим аппаратом лучше, чем он, окончивший Сорбонну.
Что происходило в каменном склепе колодца Лотоса с замурованными там претендентами на служение богу Ра? Сначала из окошечка просовывался камень с выбитыми на нем цифрами, может быть, неверными. Потом через это отверстие до слуха проходивших мимо жрецов могли доноситься крики, стоны, мольбы умирающих с голоду испытуемых, которым не суждено было стать служителями храма. Не суждено? Нет! Они не смогли ими стать, как не смог бы стать жрецом Ра сам Детрие.
Археолог так живо представил себе все это, что передернул плечами.
Тень колонны ушла. Археологу пришлось пересесть, чтобы укрыться от палящих лучей.
Несколько раз он возвращался в зал, граничивший с комнатой колодца Лотоса. Из нее не раздавалось ни звука.
Мучительно хотелось есть. Детрие, как истый француз, был гурманом. Он рассчитывал вкусно пообедать со своим гостем и никак не ожидал его новой эксцентрической выходки — лишить себя, да и его, обеда из-за решения древней задачи!
Они должны были поехать во французский ресторан мадам Шико. Турки особенно любили посещать его из-за пленительной полноты (в их вкусе) хозяйки. Она, верно, уже заждалась, исхлопоталась. Вчера она согласовывала с Детрие замысловатое меню, которое должно было перенести друзей на бульвар Сен-Мишель или на Монмартр. Креветки, нежнейшие креветки, доставленные в живом виде из Нормандии, устрицы. И белое вино к ним. Спаржа под соусом из шампиньонов. Буйа-бесс — несравненный рыбный суп. Бараньи котлеты с луком и картофелем по-савойски — или бургундские бобы. И вина! Тонкие французские вина, для каждого блюда свои: белые или красные. Наконец, сыры! Целый арсенал сыров, радующих сердце француза! Это на тот случай, если господа не наелись и хотят закрепить ощущение сытости в желудке. И потом… кофе й сигары во время задушевного послеобеденного разговора.
Ждать уже не было сил. Детрие решил хоть силой вызволить друга из заточения и решительно направился в зал. Однако насилия не понадобилось. Еще не войдя в зал, он услышал стук. Из окошечка выпал камень и лежал теперь под ним на полу.
Детрие нагнулся, чтобы поднять, его.
О боже! На нем медным зубилом были нацарапаны, кощунственно нацарапаны на бесценной реликвии какие-то цифры.
Детрие, возмущенный до глубины души, поднял камень и прочитал: «d = 1,231 меры».
В «замурованном» проеме стоял сияющий граф де Лейе. Его узкое бледное лицо, казалось, помолодело.
Археолог с упреком протянул ему камень:
— Ты исцарапал реликвию!
— Иначе мы не смогли бы обедать, — обезоруживающе заявил математик и улыбнулся совсем по-мальчишески.
— Но я не могу проверить, — развел руками Детрие.
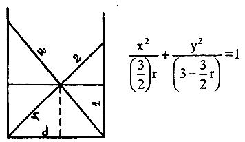
— Боюсь, что ты, археолог, не больше древних жрецов разбираешься в аналитической геометрии. Но все же смотри. Войдем в склеп. Я все написал там на полу. Внимай! Назовем расстояние от точки пересечения тростинок до конца короткой тростинки на дне через r. Теперь представим, что тростинка скользит одним концом по вертикали, а другим по горизонтали (по дну колодца). Из высшей математики известно, что точка на расстоянии r будет описывать эллипс. Я записал уравнение этого эллипса. Вот оно:

И граф показал на исчерченный пыльный пол.
— Теперь все очень просто, — продолжал он. — Нужно решить это уравнение для у = 1 и x = r2 - 1 — величина проекции мокрого отрезка длинной тростинки. Получаем уравнение. Правда, четвертой степени, к сожалению, 5r4 — 20r3 + 20r2- 16r + 16 = 0. Как это тебе нравится? Красивое уравнение?