Заметки в инвестировании, 3-е издание, стр. 64
• При определении положения стоимости акций компании относительно Биссектрисы Арсагеры следует учитывать диапазон возможных значений ROEф, Rт, особенно на будущее. Предельное внимание необходимо уделять высоким значениям ROEф: долгосрочное поддержание стабильной высокой рентабельности – очень непростая задача практически для любого бизнеса. При нахождении значений цены акции в пограничных зонах необходимо исследовать весь спектр возможных действий, описанных в этих зонах.
• Приобретение собственных акций должно рассматриваться как инвестиции. Особенностью таких инвестиций является то, что это собственный бизнес, хорошо известный акционерам. У такой инвестиции есть ставка, зная собственный бизнес, ее несложно подсчитать и сравнить с альтернативными возможностями. Синергия: компания приобретением собственных акций может решить две задачи: эффективно освоить средства и задать правильную курсовую стоимость своим акциям.
• Процесс управления акционерным капиталом не останавливается никогда, жизнь меняется, меняются и условия ведения бизнеса и его будущее. Цена редко будет находиться на БА, но действия, описанные в этой статье, будут приводить ее к БА, и котировки, таким образом, будут задавать справедливую стоимость и отражать экономические достижения бизнеса. Так будет проявляться корреляция рыночной стоимости и результатов бизнеса, а инвесторы смогут покупать акции компании и получать доходность в виде курсового изменения (а также дивидендов и бай-бэков) в зависимости от ее экономической деятельности.
8.4. Биссектриса Арсагеры (дополнение). Искривление пространства
Развитие фондовых рынков и неизбежный рост объема знаний их участников, как и иные процессы, происходящие в рыночной экономике (рост производительности труда, регулирование процентных ставок и размеров денежной массы и пр.), приводят к появлению нелинейностей в рамках модели ценообразования курсов акций на основе биссектрисы Арсагеры. Особенно ярко это проявляется при крайне низких уровнях процентных ставок в экономике (близких к нулю или даже отрицательных).
Наши наблюдения показывают, что среднее значение коэффициента P/BV для развитых рынков колеблется в диапазоне 1 – 5, при этом крайние значения скорее характеризуют заниженную/завышенную стоимость рынка акций. Если не рассматривать высокие значения данного коэффициента (более пяти) как следствие нерационального поведения участников торгов, то можно говорить, что доходность бизнеса, как элемента жизнедеятельности человека, в 2 – 4 раза превосходит уровень долговой процентной ставки.
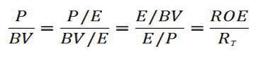
Мы уже упоминали о том, что инвестору имеет смысл покупать акцию по цене P (рыночный курс) дороже балансовой стоимости BV (размер собственного капитала на акцию) только в случае, когда темп роста BV (выплачиваемые дивиденды также являются элементом роста собственного капитала на акцию) превышает возможное увеличение уплаченной цены Р с темпом долговой процентной ставки (например, ставки по депозиту). Иначе говоря, необходимо выполнение условия: ROE > Rт, где ROE – это рентабельность собственного капитала приобретаемого бизнеса, а Rт – требуемая доходность от вложений в данный бизнес (не ниже уровня долговой ставки).
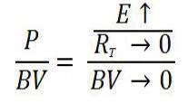
Может ли коэффициент P/BV стремиться к крайне высоким значениям или даже к бесконечности при огромных значениях ROE и низких значениях требуемых доходностей? В данной статье мы рассмотрим такие ситуации, а также опишем рациональный способ поведения инвестора в этих случаях.
Еще раз выразим в формуле коэффициент P/BV:

E/P=Rт – ставка требуемой доходности, учитывающая возможный рост прибыли в долгосрочном периоде. Также верно и P=E/Rт.
Рассмотрим структуру требуемой доходности:
Rт = Rдолг + Rотр + Rстр + Rликв + Rку – g,
где Rдолг – ставка по долгам данного бизнеса (зависит от общего уровня ставок в экономике и кредитоспособности эмитента),
Rотр – премия за специфику отрасли (зависит от стабильности прибыли),
Rстр – страновой риск (риск ведения бизнеса в той или иной стране),
Rликв – премия за ликвидность акций конкретного эмитента,
Rку – премия за риск корпоративного управления,
g – долгосрочный рост прибыли бизнесов как созидательной деятельности (подробно см. статью «Такой понятный и загадочный Р/Е»).
То есть доходность, которую будет получать инвестор на практике:
R = Rдолг + Rотр + Rстр + Rликв + Rку = Rт + g = E/P + g
Теперь рассмотрим причины роста коэффициента P/BV:

Таким образом, любая комбинаторика: рост прибыли, снижение уровня требуемой доходности, а также снижение размера собственного капитала, может привести к росту коэффициента P/BV до крайне высоких значений.
Рассмотрим каждый из этих показателей в отдельности:
1) Прибыль Е.
Данный показатель зависит от результата основной деятельности и контроля расходов. Ему достаточно быть относительно стабильным и положительным.
2) Уровень требуемой доходности Rт. Причины стремления к низким значениям.
Из структуры, описанной выше:
Rдолг – снижение уровня процентных ставок вплоть до отрицательных значений,
Rотр – снижение данной премии из-за стабильности и масштаба деятельности бизнеса в той или иной отрасли,
Rстр – низкий размер премии в развитых странах в силу отличного инвестиционного климата, максимального внимания вопросам предпринимательской деятельности со стороны государства и правовой защиты частной собственности на средства производства,
Rликв – стремится к нулю у компаний с большой капитализацией и высоким оборотом торгов акциями,
Rку – высокий уровень корпоративного управления крупнейших мировых компаний и грамотная правовая база развитых экономик делают размер данной премии близкой к нулю,
g – размер данного значения в среднем равняется темпам экономического роста в той или иной стране. Согласно формуле – высокие темпы роста в будущем существенно снижают размер требуемой доходности Rт в настоящем. Подобная ситуация служит объяснением порой крайне высоких размеров коэффициента P/E.
3) Размер собственного капитала BV.
Собственный капитал, необходимый для ведения деятельности, может быть замещен заемным. Таким образом, компания для ведения деятельности может пользоваться в большой степени (или даже полностью!) долговым капиталом. Замещение капитала может происходить посредством увеличения долговой нагрузки и снижения размера собственного капитала посредством выплаты дивидендов и проведения обратного выкупа акций (бай-бэк).
Стоит отдельно рассмотреть вопрос поведения кредиторов при низком (в сравнении с размером долга) значении собственного капитала. С одной стороны, обслуживание долга за счет генерации прибыли от основной деятельности не подлежит сомнению, а для акционеров еще остается чистая прибыль как итог вычета из доходов всех расходов (в том числе, уплачиваемых процентов) и налогов. С другой стороны, тело долга при нулевом (а особенно при отрицательном) собственном капитале не обладает должным обеспечением именно в настоящем. Другими словами, при ликвидации компании сейчас кредиторы рискуют не получить объем средств, переданных компании в долг, не говоря уже о том, что в таких обстоятельствах акционерам не останется ничего. При этом стоимость акций не может быть нулевой или даже отрицательной, и может оцениваться как стоимость бесконечного денежного потока E/Rт, при низких уровнях Rт значение данной дроби может быть достаточно большим, а стоимость акции крайне высокой.
Данная ситуация требует детального рассмотрения: «Что это: нерациональное поведение кредиторов и акционеров или некорректность отчетности? Непрофессиональное поведение менеджмента или мошенничество?»