Фрегат капитана Единицы, стр. 13
— Я сказал правильно, — хорохорился тот, — четыре про-цен-та! Ах да! Пожалуйста, пожалуйста, пожалуйста! И ещё — спасибо!
Я спросил, почему принято вместо «кусок» говорить «процент». Может быть, на здешнем языке это одно и то же?
— Нет, — ответила официантка. — Кусок есть кусок. А в моём торте он к тому же ещё и процент. Торт разделён на сто равных частей, а одна сотая часть чего-либо называется процентом. Это слово произошло от латинских слов «pro cento» — про центо, что в переводе означает «от ста».

— А вот я хочу половину торта. Мне, что же, надо сказать: «Дайте пятьдесят процентов»? — спросил Пи.
— Неверно, — поправила его официантка. — То есть процентов-то верно пятьдесят. Но вы забыли…
— Пожалуйста! — выпалил кок, покраснев, и добавил: — Спасибо!
— А если мне и одного торта мало, — спросил я, — придётся просить больше ста процентов?
— Да. Но этот добавок я буду отрезать от другого торта. В одном больше ста процентов не бывает.
Из соседней кондитерской раздался рёв.
Плакал маленький толстяк.
— Я просил сорок процентов, а мне… дали только два куска! Я сказал «пожалуйста», хотел сказать «спасибо»… А теперь не буду. Я просил сорок про-о-о… Пожалуйста… А мне…
— Посмотри, какие тебе дали большие куски, — утешали плаксу.
— Всё равно! Только два, а не сорок!
— Глупый! Тебе отрезали от торта, который разделён не на сто, а только на пять частей. Значит, каждая часть равна двадцати процентам, а два куска — сорока.
Мы пошли дальше и я спросил, почему на кружке знак процента обозначен так странно?
— По недоразумению, — ответил капитан. — Когда-то слова «pro cento» писали полностью. Потом стали писать сокращённо: «pro cto». Вскоре для быстроты отбросили «pro», и осталось одно «cto». Но некоторые писцы так торопились, что латинская буква «с» («цэ») превратилась у них в «о». Потом пропала поперечная чёрточка у буквы «t» («тэ»), да и сама буква превратилась в косую палочку. Буквы писали криво — одну выше, другую ниже. Так получился знак %.
Мы свернули в переулок и снова увидели такой же кружок, но на нём процентный знак был написан немного иначе, вот так: ‰.

— В этом переулке, — сказал капитан, — раздают сладости самым маленьким жителям порта, поэтому торты делятся не на сто, а на тысячу частей. Каждая такая порция называется промиллем. Ведь слово «милле» означает «тысяча». Значит, промилле — от тысячи, одна тысячная часть. И обозначается промилле знаком ‰.
Когда мы возвращались на Фрегат, на Процентной улице Стаксу и Топсу подарили семнадцать процентов бананового торта (пожалуйста!), которые состоят из пятидесяти одного куска (спасибо!). Мы с коком долго решали, на сколько кусков был разрезан этот торт, и наконец всё-таки решили. Попробуйте и вы!
ВСТРЕЧА С ПИРАТАМИ
Я ещё крепко спал, когда капитан Единица объявил тревогу и велел свистать всех наверх. Я тотчас проснулся и побежал чистить зубы. Но штурман закричал, что сейчас не до гигиены, что на нас несётся пиратское судно, и скомандовал: «Брысь на палубу!»
Команда Фрегата срочно готовилась к бою; вражеское судно было уже близко. Пираты размахивали кривыми ножами и орали во всю глотку свой пиратский гимн:
Я спросил было у капитана, о чём это они поют, но тот сказал, что сейчас не до объяснений: на борту пиратского судна наверняка есть пленники, и мы обязаны их освободить.
Капитан скомандовал: «Полный назад!» — и Фрегат ударился о борт пиратского корабля.

«На абордаж!» — закричали мы. «На абордаж!» — закричали пираты. Нам удалось опередить противника и перелезть на пиратское судно. Мы сражались отчаянно, и вскоре пираты все до одного лежали связанные.
Стали выводить из трюма пленников. Это были числа. Их было очень много. И никто из них не сказал нам даже «спасибо» за спасение. Мне это очень не понравилось, но капитан объяснил, что пленники заколдованы и потому ничего не помнят — даже своих имён.
Капитан приказал главарю пиратов немедленно расколдовать числа, но тот наотрез отказался. Пришлось расколдовывать самим. Но вот беда: никто из нас не знал, как это сделать. Пираты только посмеивались. А я прямо в глаза им сказал, что это с их стороны в высшей степени неблагородно!
— В высшей степени!! — крикнул капитан и бросился меня целовать. Молодец, Нулик! Как я сразу не догадался, что пленники заколдованы возведением в степень? Принести сюда радикал!
Я спросил, что такое радикал. И пока матросы за ним ходили, узнал вот что. У чисел есть корни. Не такие, как у цветов и деревьев, а совсем другие.
Помножим 5 на 5. Получим 25. Что мы сделали? Мы возвели число пять во вторую степень.
А теперь извлечём из числа 25 корень второй степени. Что это значит? Это значит подобрать такое число, которое после возведения во вторую степень даст 25. И мы уже знаем, что это число 5.
Стало быть, возведение в степень и извлечение корня — действия взаимно обратные, как умножение и деление, сложение и вычитание.

Числа можно возводить в любую степень. Для того чтобы 5 возвести в третью степень, надо умножить его самого на себя три раза (5*5*5 = 125), в четвёртую — четыре раза, и так без конца, сколько захочешь.
Число, которое возводится в степень, называется основанием степени, число, в которое возводится основание, — показателем степени.
Если хочешь возвести основание в степень, справа от него, чуть выше, надо поставить показатель степени: 53 = 125.
Если же хочешь извлечь корень из числа, его надо подвести под радикал — знак извлечения корня (вот он какой)
и поставить над радикалом показатель корня. При этом число, которое стоит под радикалом, называется подкоренным числом.
Трудность заключалась в том, что заколдованные, то есть возведённые в степень, пленные числа забыли свои основания. Это-то нам и надо было узнать.
В это время матросы принесли радикал и набор показателей корня. Оставалось выяснить, в какие степени возведены числа. Но как это сделать? Пираты ни за что нам этого не скажут!
Капитан призадумался. И тут я услышал какой-то стон. Он доносился из шлюпки, покрытой брезентом. Мы бросились туда, подняли брезент и увидели ещё одного пленника. Вернее, пленницу — Четвёрку. Она была крепко связана, во рту торчал носовой платок. Оказалось, пираты только одну её не успели заколдовать, а она запомнила все показатели степеней, в которые были возведены остальные числа.
Четвёрку освободили, главарь пиратов страшно заскрежетал зубами, а наш капитан стал подводить пленников под радикал. Четвёрка каждый раз называла показатель корня, и я тут же водворял его над радикалом.
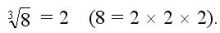
Сперва подвели под радикал число 8. Я поднял показатель 3, и вот уже вместо восьми перед нами весёлая Двойка. Ведь корень третьей степени из восьми равен двум:
Затем под радикал подвели число 81. Я поднял над радикалом показатель 4, и из-под него выпорхнула Тройка. Потому что