Вечность. В поисках окончательной теории времени, стр. 90
Но ничего подобного. В действительности Хокинг применял формализм теории поля к вопросу излучения черных дыр. Он надеялся вывести формулу, которая позволит воспроизвести результат Зельдовича и Старобинского для вращающихся черных дыр, но все время натыкался на что-то совершенно невероятное: создавалось впечатление, что, согласно квантовой теории поля, даже из невращающихся черных дыр должно исходить излучение. То есть они должны излучать точно так же, как система в термодинамическом равновесии при какой-то фиксированной температуре, пропорциональной поверхностной гравитации, — в точности как предписывает аналогия между черными дырами и термодинамикой.
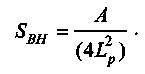
К своему удивлению, Хокинг доказал правоту Бекенштейна. Черные дыры действительно ведут себя как обычные термодинамические объекты. Это означает, помимо прочего, что энтропия черной дыры на самом деле пропорциональна площади ее горизонта событий; оказалось, что связь между этими двумя величинами — вовсе не простое забавное совпадение. Более того, расчеты Хокинга (в отличие от заявления Бекенштейна) позволили ему установить точный коэффициент пропорциональности: ¼. Таким образом, если Lp — планковская длина, а L2p — планковская площадь, то энтропия черной дыры равна ¼ площади ее горизонта, измеренного в единицах планковской площади:

Нижний индекс BH можно читать как Black Hole — «черная дыра» по-английски либо как Bekenstein—Hawking (Бекенштейн—Хокинг) — как вам больше нравится. Эта формула — самый важный ориентир, который у нас есть в деле примирения гравитации и квантовой механики. [225] И если мы хотим понять, почему сразу после Большого взрыва энтропия была очень мала, то нам необходимо разложить по полочкам наши знания об энтропии и гравитации, так что логично начать именно с них.
Испарение
Для того чтобы полностью разобраться, каким образом Хокинг пришел к этому потрясающему результату — пониманию того, что черные дыры излучают, — необходимо провести тщательный математический анализ поведения квантовых полей в искривленном пространстве. Однако существует также популярное объяснение «на пальцах», и оно содержит достаточно ценной истины, чтобы на него могли опираться все люди мира, включая Хокинга. Так почему бы нам не последовать их примеру?
Основная мысль состоит в том, что квантовая теория поля подразумевает существование «виртуальных частиц» в дополнение к старым добрым реальным частицам. Мы мимоходом упомянули об этой идее в главе 3, когда обсуждали энергию вакуума. Казалось бы, самую низкую энергию квантовое поле должно иметь в состоянии, когда оно абсолютно постоянно, то есть просто существует в неизменном виде, не меняясь от точки к точке или от одного момента времени к другому. Если бы речь шла о классическом поле, все так и было бы, но как в квантовой механике невозможно привязать частицу к одному конкретному положению, так и в квантовой теории поля нельзя привязать поле к одной конкретной конфигурации. Значение квантового поля всегда будет содержать какие-то неопределенности и нечеткость — это неотъемлемое его свойство. Это присущее квантовым полям дрожание можно относить на счет появления и исчезновения частиц — по одной частице и одной античастице за раз, причем происходит это так стремительно, что мы просто не успеваем их заметить. Такие виртуальные частицы невозможно засечь напрямую; если мы видим частицу, то точно знаем, что это реальная, а не виртуальная частица. Однако виртуальные частицы могут взаимодействовать с реальными (не виртуальными), едва ощутимо изменяя их свойства, и это воздействие можно пронаблюдать и изучить в мельчайших деталях. Виртуальные частицы действительно существуют.
Одним из важнейших выводов Хокинга было то, что гравитационное поле черной дыры способно превращать виртуальные частицы в реальные. Обычно виртуальные частицы появляются парами: одна частица и одна античастица. [226] Они возникают, существуют на протяжении кратчайшего времени, а затем аннигилируют, пока никто не заметил. Но благодаря наличию горизонта событий черная дыра все меняет. Когда пара из виртуальной частицы и античастицы образуется очень близко к горизонту, одна из частиц может упасть под горизонт, и, очевидно, у нее не останется других вариантов, кроме как продолжать падение в сингулярность. Тем временем другая частица сможет убежать на бесконечность. Горизонт событий разорвал виртуальную пару, поглотив одну из частиц. А убежавшая частица стала частью хокинговского излучения.
Теперь на сцену выходит важнейшее свойство виртуальных частиц: их энергия может быть вообще какой угодно. Общая энергия пары из виртуальной частицы и античастицы в точности равна нулю — это необходимое условие, так как они должны уметь появляться из вакуума и растворяться в нем. Энергия реальных частиц равна произведению массы на квадрат скорости света, когда частица находится в покое, а с началом движения частицы возрастает; следовательно, энергия никогда не может быть отрицательной. Таким образом, если у реальной частицы, убежавшей от черной дыры, положительная энергия, а общая энергия исходной виртуальной пары была нулевой, значит, у частицы, упавшей в черную дыру, энергия отрицательная. И когда эта частица падает, общая масса черной дыры уменьшается.
В конце концов, если она не получит какую-то дополнительную энергию из других источников, черная дыра полностью испарится. Оказывается, черные дыры нельзя считать областями, где время обрывается раз и навсегда; это объекты, которые успевают просуществовать в течение какого-то периода времени, прежде чем окончательно исчезнуть. В каком-то смысле хокинговское излучение сделало черные дыры намного более приземленными, чем они казались в классической общей теории относительности.

Рис. 12.4. Хокинговское излучение. В квантовой теории поля виртуальные частицы и античастицы постоянно образуются из вакуума и исчезают в вакууме. Однако поблизости от черной дыры одна из пары частиц может провалиться под горизонт событий, а другая — убежать во внешний мир в форме хокинговского излучения.
Хокинговское излучение обладает интересным свойством: чем меньше черная дыра, тем она горячее. Температура пропорциональна поверхностной гравитации, которая тем больше, чем менее массивную черную дыру мы рассматриваем. У тех типов астрофизических черных дыр, о которых мы говорим в этой главе (с массой, равной массе Солнца или намного ее превышающей), очень низкие хокинговские температуры; во Вселенной в ее текущем состоянии такие черные дыры вообще не испаряются, так как забирают намного больше энергии у окружающих объектов, чем теряют посредством хокинговского излучения. Ситуация не поменялась бы, даже если бы единственным внешним источником излучения был космический микроволновый фон с температурой около 3 кельвинов. Для того чтобы черная дыра имела температуру выше, чем сегодняшняя температура космического микроволнового фона, ее масса должна составлять менее 1014 килограммов — приблизительно столько весит гора Эверест, а это намного меньше, чем у любой известной нам черной дыры. [227] Разумеется, фоновое микроволновое излучение становится все холоднее по мере расширения Вселенной, так что если подождать достаточно долго, черные дыры станут теплее окружающей Вселенной и начнут терять массу. В ходе этого процесса они будут нагреваться и терять массу еще быстрее; процесс выйдет из-под контроля, и как только черные дыры съежатся до критического размера, их быстрый конец наступит в форме эффектных взрывов.