Скрытая реальность. Параллельные миры и глубинные законы космоса, стр. 109
Частично неприятие теории де Бройля — Бома вызвано тем, что математический формализм теории не всегда представляется в отчётливом виде. Для математически настроенного читателя, приведём здесь прямой вывод этой теории.
Начнём с уравнения Шрёдингера для волновой функции частицы:
где плотность вероятности частицы в точке x, ρ(x) задаётся стандартным уравнением,
Теперь представьте, что частица движется по определённой траектории со скоростью, задаваемой функцией υ(x) в точке x. Какому физическому условию должна удовлетворять функция скорости? Определённо, она должна удовлетворять закону сохранения вероятности: если частица движется со скоростью υ(x) из одной области в другую, плотность вероятности должна меняться соответственно:
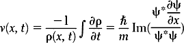
Теперь легко найти решение для υ(x), которое имеет вид

где m — это масса частицы.
Вместе с уравнением Шрёдингера это уравнение определяет теорию де Бройля — Бома. Отметим, что второе уравнение нелинейно, но это не влияет на уравнение Шрёдингера — оно по-прежнему остаётся полностью линейным. Тогда подходящая интерпретация такова, что этот подход для устранения недочётов копенгагенского подхода предлагает новое уравнение, зависящее от волновой функции нелинейным образом. Вся сила и красота основополагающего уравнения, то есть уравнения Шрёдингера, полностью сохраняется.
Можно также добавить, что уравнение непосредственно обобщается на случай многих частиц: в правую часть нового уравнения подставляется волновая функция многочастичной системы ψ(x1, x2, x3… xn), и при вычислении скорости k-й частицы производная берётся по отношению к k-й координате (рассматривается, для простоты, одномерное пространство; в старших измерениях, соответственно, увеличивается число координат). Это обобщённое уравнение явно нелокально: скорость k-й частицы мгновенным образом зависит от положений других частиц (поскольку волновая функция зависит от координат положения частиц).
79
Приведём конкретный умозрительный эксперимент, демонстрирующий различия между копенгагенским и многомировым подходом. Электрон, подобно всем остальным элементарным частицам, обладает свойством, известным как спин. Электрон, подобно волчку, может вращаться вокруг некоторой оси, но с тем существенным отличием, что скорость его вращения — независимо от направления оси — всегда постоянна. Спин является внутренней характеристикой электрона, подобно массе или электрическому заряду. При этом значение имеет лишь то, вращается он по часовой стрелке или против часовой стрелки вокруг заданной оси. Если против часовой стрелки, мы говорим, что спин электрона вдоль этой оси направлен вверх; если по часовой стрелке, мы говорим, что спин электрона направлен вниз. Из квантово-механической неопределённости следует, что если спин электрона вдоль данной оси имеет определённое значение — например, со 100-процентной вероятностью спин электрона направлен вверх вдоль z-оси — то его спин вдоль x-оси и y-оси неопределён: вдоль x-оси спин будет с вероятностью 50 процентов направлен вверх и с вероятностью 50 процентов вниз; то же самое справедливо для y-оси.
Представьте теперь, что берётся электрон, спин которого вдоль z-оси с вероятностью 100 процентов направлен вверх, и затем требуется измерить его спин вдоль x-оси. Согласно копенгагенскому подходу, если спин окажется направленным вниз, это означает, что волна вероятности спина электрона схлопнулась: возможность «спин-вверх» была стёрта из реальности, остался единственный пик, соответствующий «спин-вниз». В многомировом подходе наоборот, имеют место оба результата, «спин-вниз» и «спин-вверх», поэтому, в частности, возможность «спин-вверх» полностью сохраняется.
Чтобы вынести решение в пользу того или иного подхода, вообразим следующее. Представим, что после измерения спина электрона вдоль x-оси, кто-то полностью обратил физическую эволюцию. (Фундаментальные уравнения физики, включая уравнение Шрёдингера, инварианты относительно обращения времени, что означает, в частности, что по крайней мере в принципе можно развернуть назад любую эволюцию. В моей книге «Ткань космоса» содержится полное обсуждение этого вопроса.) Этой инверсии подвергнется всё: электрон, приборы, всё что угодно, участвующее в эксперименте. Теперь, если многомировой подход верен, последующее измерение спина электрона вдоль z-оси должно привести, со 100-процентной вероятностью, к значению, с которого мы начали: «спин-вверх». Однако, если верен копенгагенский подход (под которым я подразумеваю математически самосогласованную версию, такую как формулировка Джирарди — Римини — Вебера), то мы получим другой ответ. Копенгагенский подход говорит, что при измерении спина электрона вдоль x-оси, где мы обнаружили «спин-вниз», возможность появления «спин-вверх» была аннулирована, полностью стёрта из регистра реальности. Поэтому при обращении измерения мы не возвратимся назад в начальное положение, потому что часть волны вероятности навсегда потеряна. При последующем измерении спина электрона вдоль z-оси нет 100-процентной вероятности получения того же самого результата, с которого мы начали. Наоборот, оказывается, что есть 50 процентов вероятности, что будет получен исходный результат, и 50 процентов вероятности, что будет получен другой. Если повторять этот эксперимент раз за разом и если доверять копенгагенскому подходу, то в среднем в половине случаев вы не получите исходного результата для спина электрона вдоль z-оси. Проблема, конечно же, в осуществлении полного обращения физической эволюции. Но в принципе, этот эксперимент может помочь выяснить, какая из двух теорий верна.
80
Основываясь на общей теории относительности и проведя соответствующие вычисления, Эйнштейн математически доказал, что экстремальные конфигурации Шварцшильда — известные теперь как чёрные дыры — не могут существовать. Математически его вычисления были совершенно верными. Но он ввёл дополнительные предположения, которые, при экстремальной искривлённости пространства и времени, вызываемой чёрной дырой, оказались слишком ограничительными. Эти ограничения означали, что используемый Эйнштейном математический формализм не обладал достаточной свободой для обнаружения существования чёрных дыр. Но это всего лишь артефакт подхода Эйнштейна, а не указание на то, могут или нет образовываться чёрные дыры. При современном понимании очевидно, что в общей теории относительности есть место для решений, содержащих чёрные дыры.
81
В 1972 году Джеймс Бардин, Брэндон Картер и Стивен Хокинг открыли математические законы, описывающие эволюцию чёрных дыр, и обнаружили, что эти уравнения выглядят точно так же, как уравнения термодинамики. Всё, что надо сделать для перевода из одного набора законов в другой, это заменить «площадь горизонта чёрной дыры» на «энтропию» (и наоборот), а «гравитацию на поверхности чёрной дыры» на «температуру». Поэтому, чтобы идея Бекенштейна сработала — чтобы сходство оказалось не просто совпадением, а свидетельством наличия энтропии у чёрных дыр, — температура чёрных дыр должна быть отлична от нуля.
82
Причина, по которой энергия меняется, отнюдь не так очевидна; она основывается на внутренней связи между энергией и временем. Энергию частицы можно представлять как скорость вибраций квантового поля. Если заметить, что сам смысл скорости вовлекает понятие времени, взаимосвязь между энергией и временем становится очевидной. Чёрные дыры оказывают глубочайшее влияние на время. Для удалённого наблюдателя время при приближении объекта к горизонту чёрной дыры замедляется, а на горизонте останавливается совсем. При пересечении горизонта время и пространство меняются ролями — внутри чёрной дыры радиальное направление становится временем. Это означает, что внутри чёрной дыры понятие положительной энергии совпадает с движением вдоль радиального направления к центру сингулярности чёрной дыры. Когда партнёр с отрицательной энергией из пары рождённых из вакуума частиц пересекает горизонт, он действительно падает в центр чёрной дыры. Таким образом, отрицательная энергия, которая у него была с точки зрения удалённого наблюдателя, становится положительной энергией для наблюдателя внутри чёрной дыры. Поэтому такие частицы могут существовать во внутренности чёрной дыры.