Искусственный интеллект. Этапы. Угрозы. Стратегии, стр. 33
Изначально зародыш ИИ обладает очень ограниченными когнитивными способностями. То есть в начальной точке величина
Рост возможностей системы может дойти до такой точки, где сила оптимизации, которую производит сама система, начинает доминировать над силой оптимизации, приложенной к системе извне (по всем существенным направлениям усовершенствования):
Этот рубеж очень важен, поскольку за ним дальнейшее совершенствование системы оказывает весьма сильное влияние на рост совокупной силы оптимизации, приложенной к системе с целью ее совершенствования. То есть включается режим мощного рекурсивного самосовершенствования. Это приводит к взрывному росту возможностей системы в широком диапазоне форм кривых сопротивляемости.
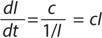
Чтобы проиллюстрировать это, рассмотрим первый сценарий, в котором сопротивляемость постоянна, вследствие чего возможности ИИ растут пропорционально приложенной к нему силе оптимизации. Предположим, что вся сила оптимизации генерируется самой системой и что все интеллектуальные возможности системы направлены на решение задачи совершенствования ее интеллекта, так что
Решая это простое дифференциальное уравнение, получаем экспоненциальную функцию:
I = Aet/k
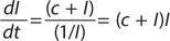
Но постоянство сопротивляемости — особый случай. Сопротивляемость вполне может снизиться в зоне человеческого интеллектуального уровня в силу одного или нескольких факторов, рассмотренных в предыдущем разделе, и оставаться низкой в точке перехода и некоторое время после нее (возможно, до тех пор, пока система в конечном счете не упрется в фундаментальные физические ограничения). Предположим, что приложенная к системе сила оптимизации остается примерно постоянной (то есть
Если сопротивляемость продолжает снижаться по такой гиперболе, то когда ИИ достигнет точки перехода, совокупная сила оптимизации, действующая на систему, удвоится. То есть:
Следующее удвоение произойдет через 7,5 месяца. В течение 17,9 месяца возможности системы вырастут в тысячу раз, превратив ее в быстрый сверхразум (см. рис. 9).

Рис. 9. Одна из простых моделей взрывного развития интеллекта
Эта конкретная траектория роста имеет точку положительной сингулярности в момент t = 18 месяцев. В реальности предположение, что сопротивляемость является константой, перестанет выполняться по мере приближения системы к физическим границам обработки информации, если не раньше.
Эти два сценария приведены лишь в качестве иллюстрации: в зависимости от формы кривой сопротивляемости возможно множество других траекторий. Суть проста: мощная обратная связь, возникающая в районе точки перехода, должна привести к более быстрому взлету, чем в ее отсутствие.
В предыдущем разделе мы видели, что есть факторы, способные привести к резкому снижению сопротивляемости. К таким факторам относятся, например, возможность быстрого расширения аппаратной основы, как только будет создано работающее интеллектуальное ПО; возможность алгоритмических улучшений; возможность сканирования дополнительных экземпляров мозга (при полной эмуляции головного мозга); возможность быстрого усвоения огромного объема контента за счет тщательного обследования интернета (в случае искусственного интеллекта)24.
Впрочем, нужно сказать, что форму кривой сопротивляемости в каждой конкретной области характеризовать довольно сложно. В частности, неясно, насколько трудно будет повысить качество ПО имитационной модели человеческого мозга или ИИ. Нет также ясности и со степенью сложности расширения аппаратной базы подобных систем.
Хотя сегодня сравнительно легко увеличить вычислительную мощность, доступную небольшому проекту, — просто потратив на компьютеры в тысячу раз больше или подождав несколько лет падения цен на них, — вполне вероятно, что первый машинный интеллект, достигший человеческого уровня, будет создан в рамках крупного проекта с применением дорогих сверхмощных компьютеров, которые не слишком просто масштабировать, и что к этому времени перестанет действовать закон Мура. По этим причинам не следует исключать возможность медленного взлета, хотя вероятность быстрого или умеренного взлета представляется все-таки более высокой25.
Глава пятая
Решающее стратегическое преимущество
Помимо вопроса о динамике процесса появления сверхразума, есть еще один, с ним связанный: будет ли создан единственный сверхразум или множество? Наступит ли власть единственного сверхразума или власть многих? Взрывное развитие искусственного интеллекта приведет к тому, что лишь один проект вырвется далеко вперед и продиктует людям их будущее? Или прогресс пойдет более равномерным путем, разворачиваясь широким фронтом, коснется многих разработок, ни одна из которых не обеспечит себе безоговорочного верховенства?