Бегство от удивлений, стр. 34
Ничего злодейского в замысле Клио на этот раз не было. С «Зари» он задумал улететь в прошлое — всего-навсего. Как только спидометр межзвездного лайнера показал скорость лишь на стотысячную долю процента меньше скорости света, пират решил, что пора действовать. Влез в «Медузу», нацелил ее вперед, точно по пути «Зари», и включил свой ракетный двигатель на полную мощность.
«Медуза» вздрогнула и понеслась. Тотчас «Заря» оказалась где-то далеко-далеко позади. Скорость «Медузы» относительно «Зари» составила все доступные ей 150 тысяч километров в секунду. Значит, относительно Земли всего вышло примерно 450 тысяч километров в секунду, а это в полтора раза быстрее света. «Полетаю немного, а потом, не сбавляя скорости, поверну домой. Ура! Да здравствует светлое, безгрешное прошлое, в которое я вернусь!» — ликовал Клио.
Радужные картины рисовались в мечтах бандита. Он блаженно закрыл глаза и начал дремать. Но тут из радиотелефона прозвучали чеканные слова:
Гражданин Клио, руки вверх!
Пират вздрогнул. Оглянулся по сторонам. Рядом с «Медузой» летела легкая спецракета с надписью: «УРСС». Бандиту был превосходно известен зловещий смысл этого сокращения: «Уголовный розыск Солнечной Системы». В иллюминаторе виднелись серые, со спокойной смешинкой глаза того самого детектива, который задержал Клио в кафе. Майор Прошкин! На беглеца было угрожающе нацелено дуло пистолета.
Вас не может быть! — завопил ошарашенный пират.
Почему же? — иронически спросил майор.
Потому что вы можете быть только в будущем, а я уже лечу в прошлое...— Разбойник от волнения заикался.— Я ведь несусь бы-бы-быстрее света!..
Ничего подобного, — устало возразил Прошкин.— Ваша скорость относительно Земли на четыре миллионных доли процента меньше световой. Так что в прошлое вы не летите. Так же, как и я. Даже мы, работники уголовного розыска, не можем превысить световую скорость. Вы опять доказали свою невежественность— не знаете, как складываются скорости в теории относительности. Стыдно, гражданин! Давайте-ка поворачивайте!..
На Земле Клио был водворен в камеру и наказан за побег принудительным уроком физики. Тема урока — релятивистские законы сложения скоростей.
И вот учебный каземат. Властным взглядом майор Прошкин усадил заключенного Клио за парту. Написал на доске:
«Задача. Эскалатор в метро ползет вниз со скоростью три километра в час. Пассажиру некогда, и он сбегает по эскалатору со скоростью три километра в час относительно ступенек. Какова скорость пассажира относительно стен шахты?»
Прошу решить, — сухо приказал майор.
Клио вспомнил, как давно-давно, еще маленьким шалопаем, школяром-третьеклассником, он получил похожую задачу. Тогда он написал 3+3=6 и заработал пять с плюсом. И сейчас взрослый Клио решил задачу так. Робко написал на доске результат сложения скоростей пассажира и эскалатора: 6 километров в час.
Майор сказал, что ответ правильный, но строго добавил:
Однако, когда вы, задумав убежать в прошлое, захотели так же просто сложить скорости, близкие к световой, задача не решилась.
Почему же? — спросил недоумевающий Клио.
Потому, что при малых относительных скоростях ничтожны поправки, вносимые теорией Эйнштейна. А при скоростях, близких к световой, они огромны. Их необходимо учитывать, чего вы не сделали.
Клио сокрушенно молчал.
Скажите, что такое скорость? — терпеливо спросил майор.
Путь, пройденный за какое-то время, — с готовностью ответил Клио.
Прошкин согласился:
Да. Но вот что надо помнить. Когда вы беззаботно складывали скорости по правилам школьной арифметики, то молчаливо допускали, что масштабы пути и времени для шахты, для пассажира и для эскалатора одинаковы. Может это быть, если скорость эскалатора и пассажира близки к скорости света? Может? Я вас спрашиваю!..
Наверное, нет, — неуверенно промямлил заключенный.
Не «наверное», а наверняка нет! — воскликнул Прошкин.— Как только эскалатор помчался относительно шахты почти со скоростью света и пассажир побежал с подобной скоростью относительно эскалатора (допустим такое ради сохранения прежнего примера), у каждого участника этого сложного движения появляются релятивистские оценки событий в других системах отсчета. Для шахты метры эскалатора будут укоротившимися, секунды — удлинившимися, для эскалатора метры пассажира сократятся и секунды пассажира станут дольше. Поэтому для шахты скорость пассажира будет хоть и больше скорости эскалатора, но меньше световой. Так что и этим воровским способом обогнать свет и, значит, удрать во вчерашний день не удастся. Вот она, ваша ошибка, гражданин Клио! Поражаюсь вашему невежеству!
Клио опустил голову. Он был посрамлен. Ему было мучительно стыдно. А майор продолжал:
Далее допустите совсем уж невероятное происшествие— в метро погас свет. Бегущий пассажир вынимает из кармана фонарик и освещает себе дорогу. Свет из фонарика мчится со скоростью света. Это — относительно фонарика. А относительно шахты?
Э... Вдвое больше, гражданин майор...
Неверно! Ничего вы не поняли! Относительно шахты скорость света — та же. Она не увеличивается ни на йоту! Ведь мы с вами вернулись в своих рассуждениях туда, откуда отправлялись, — ко второму постулату Эйнштейна: скорость света не зависит от движения источника.
Под конец урока майор подошел к доске.
Если бы вы, гражданин Клио, проштудировали графики Минковского (в этой книжке — «необязательные» главы двенадцатая и тринадцатая), то вряд ли затеяли бы эту свою нелепую попытку убежать в прошлое. Мировая линия вашей пиратской «Медузы» ни при каких условиях не может пересечь световую линию. В той мировой точке, где «Медуза», сорвавшись с крыши мчащегося звездолета, полетела вперед, ее мировая линия лишь чуточку круче наклонилась к световой линии, попав в область скоростей, где для Земли еще дольше секунды и короче километры. Вот график (калибровочных линий времени и расстояний я не рисую):


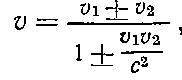
Мировая линия «Медузы» лишь чуть нагнулась, и скорости сложились совсем не арифметически. Вот формула: суммарная скорость

где v1 — скорость первой движущейся системы отсчета, в которой движется со скоростью вторая система отсчета; знак плюс — для совпадающих по направлению движений, минус — для противоположных. Когда скорости v1 и v2 малы по сравнению со световой, выходит обычное классическое v = v1±v2. Ясно?
— Ясно, — не очень уверенно сказал Клио.
Ну, а читателям, я надеюсь, вполне ясно.
Криминальные, торговые и транспортные эпизоды, приведенные в последних главах, изобретены для пущей наглядности эйнштейновских эффектов. Но, надо покаяться, сделано это с полной безответственностью. Никогда и нигде не сбудется ничего подобного. Причин много. Самые веские щедро выдает в своих формулах сама теория относительности. Вникнув в них, видишь, что придуманные нами театральные эпизоды бесстыдно утрированы.
Если проделать вычисления, то станет особенно ясно, как далеки релятивистские скорости от привычных нам скоростей — поездов, самолетов, даже спутников и лунников. Так, в реактивном самолете время замедляется для земного наблюдателя на 0,000 000 000 000 5; на такую же ничтожную долю уменьшается длина. Для космического корабля в орбитальном полете соответствующая цифра составляет 0,000 000 000 5 — пять десятимиллиардных. Попробуй заметь! Правда, эта величина доступна измерению средствами современной экспериментальной техники. Запустив спутник, через несколько лет можно надеяться уловить отставание летящих на нем часов примерно на тысячную долю секунды по сравнению с земными. Но практически — никакого изменения. Вплоть до скоростей в тысячи километров в секунду действует старая, проверенная и перепроверенная механика Ньютона.