Вопросы о погоде, стр. 25
6.5. Что лежит в основе общепризнанных научных классификаций климатов?
В основе очень распространенной классификации климатов, предложенной русским ученым В. Кеппеном, также лежат режим температуры и степень увлажнения, но одновременно эта классификация учитывает и ландшафты: выделено восемь климатических поясов с одиннадцатью типами климата. Каждый тип имеет точные критерии значений температуры, количества зимних и летних осадков.
Известный советский климатолог Б. П. Алисов создал классификацию климатов с учетом особенностей циркуляции атмосферы. Им выделено семь основных климатических зон – экваториальная, две тропические, две умеренные и две полярные. Между основными зонами, по Алисову, находится шесть переходных зон – две зоны тропических муссонов, две субтропические и две субполярные (субантарктическая и субарктическая). В каждой из названных зон в соответствии с преобладающей циркуляцией воздушных масс есть четыре типа климата: материковый, океанический, климат западных и климат восточных берегов.
Интересную и вместе с тем простую классификацию климатических режимов северного полушария предложили ученые А. А. Григорьев и М. И. Будыко. Эта классификация учитывает, помимо режимов температуры и увлажнения, еще и радиационный баланс. Она предусматривает всего пять климатических режимов:
1) арктический, с наличием снежного покрова, отрицательными температурами воздуха и отрицательным или близким к нулю радиационным балансом;
2) тундры, со средними месячными температурами от 0 до 10°C при положительном радиационном балансе;
3) лесных зон, со средними месячными температурами более 10°C при положительном радиационном балансе и достаточном увлажнении, когда испарение составляет не менее половины величины испаряемости (максимально возможного испарения);
4) засушливых зон (степей и сухих саванн), где при положительном радиационном балансе испарение составляет от одной десятой до половины величины испаряемости;
5) пустынь, где при положительном радиационном балансе испарение меньше одной десятой испаряемости.
В разных географических зонах в течение года может быть несколько климатических режимов, например зимой – арктический, а летом – засушливых зон. Есть и другие классификации, построенные на другой основе, например классификация ландшафтно-географических зон суши (Л. С. Берга).
6.6. Какие климаты есть в Советском Союзе?
У нас в стране большое разнообразие климатов. Из одиннадцати типов климата по Кеппену представлены девять. Это сухие климаты пустынь и степей на юге Азиатской и Европейской частей СССР; умеренно теплые климаты с сухой зимой в восточных районах Европейской части РСФСР, с сухим летом – в некоторых районах Средней Азии и с равномерным в течение года увлажнением – на Южном берегу Крыма, на Черноморском побережье Кавказа и в Приморье на Дальнем Востоке; умеренно холодные климаты лесной зоны с сухой зимой в Забайкалье и с равномерным увлажнением в таежной зоне Сибири и Европейской части Союза; полярные климаты тундры на арктическом побережье страны и постоянного мороза на арктических островах в Ледовитом океане.

Нет у нас лишь климатов влажных тропических лесов и саванн, присущих приэкваториальным областям.
6.7. Чем характерен средиземноморский климат?

Средиземноморский климат по Кеппену – умеренно теплый с сухим летом; Алисов относит его к климату субтропическому на западных берегах континентов. Для этого климата характерна мягкая зима со значительным количеством осадков и относительно сухое, достаточно жаркое лето. Зимой может выпадать снег, но без образования снежного покрова. У нас в стране близкий к такому климат на Южном берегу Крыма. Так, например, в районе Ялты средняя температура июля 24°C, января 4°C, годовая сумма осадков 600 мм, но за летние месяцы выпадает 230 мм. Климат на Черноморском побережье Кавказа севернее Туапсе приближается к средиземноморскому в меньшей степени.
Средиземноморский климат (по Алисову) наблюдается и за пределами Средиземноморья: на побережьях штатов Калифорния, Орегон и Вашингтон в США, в Южной Австралии, Южной Африке (Капский п-ов). В районах со средиземноморским климатом своеобразная растительность, сочетающая засухоустойчивые виды и вечнозеленые деревья и кустарники.
6.8. Каковы отличительные черты континентального климата?
Основной чертой континентальности климата является большая амплитуда колебаний температуры между зимой и летом. В умеренных широтах континентальный климат отличается большой суровостью зимы и более жарким по сравнению с климатом морских побережий или океанских островов летом. Вторая отличительная черта континентальности климата – ограниченность количества осадков и часто недостаточность последних в те или иные сезоны или в целом за год. Однако распределение осадков – не определяющий признак континентальности климата; рельеф и особенности атмосферной циркуляции могут существенно влиять на осадки и режим температуры, искажая общую картину условий погоды, характерных для данной местности. В горах во внутренних континентальных областях осадков иногда выпадает больше, чем на побережьях; известны также засушливые области на берегу океана, такие, как пустыня Атакама в Чили, где протекающее вдоль берега холодное Перуанское течение умеряет летнюю жару и годовая амплитуда температуры очень невелика – всего 5-6°C, осадков же выпадает в условиях преобладания антициклонической циркуляции и постоянства сухих ветров юго-западного пассата ничтожное количество.
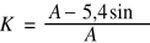
6.9. Что такое индекс континентальности?
Индексом континентальности называют числовую характеристику климата, указывающую степень его континентальности. Известно несколько вариантов вычисления этого индекса, предложенных различными авторами. Все они основаны на учете годовой амплитуды температуры, функцией которой и является индекс континентальности K. Например, по Горчинскому,
; по Хромову,
; где А - годовая амплитуда температуры; ? – географическая широта места.
Значения индекса континентальности по Горчинскому выражаются двузначными числами, возрастающими с увеличением континентальности. Теоретически они могут изменяться от нуля до бесконечности. Индекс континентальности по Хромову обычно положителен и составляет доли единицы, а его предельное максимальное значение равно единице (что возможно только на экваторе). В случае морского климата индекс континентальности может иметь даже отрицательное значение.
6.10. Где климат более континентальный – в северном полушарии или в южном?
Решающее преобладание океана над сушей в южном полушарии делает климат южного полушария гораздо менее континентальным, чем климат северного; исключение составляет лишь Антарктика, где картина становится прямо противоположной в связи с существованием континента у Южного полюса.

Хотя в целом северное полушарие теплее южного и средняя температура воды в океанах северного полушария также на 2°C теплее, чем в океанах южного полушария, зима в южном полушарии более мягкая, чем в северном полушарии в поясе между широтами от 30 до 70°. Средние зональные температуры воздуха в северном полушарии выше, чем в южном, на всех широтах, за исключением пояса между 60 и 50°. Это видно из следующей таблицы (А. С. Монин, Ю. А. Шишков, 1979).