Три банана, или Пётр на сказочной планете, стр. 4
– Так почему же он не бросит его?
– А потому, что он хочет попасть в цирк.
– И ему нечем заплатить за вход? – удивлённо выпалил мальчик.
– Хотя я и не знаю, что такое «заплатить», – сказала девочка сочувственно, – но никакое «заплатить» ему никогда не было нужно и не понадобится. Он должен решить пример, и тогда он получит разрешение посетить цирк. И меня возьмёт с собой. И ещё кого-нибудь. Ну, хотя бы вас. Но вы не можете – вы едете в Вон Там.
Петру уже порядком надоели эти дурацкие разговоры. Поэтому он начал осторожно:
– А что, если я не сойду вон там? Что, если я поеду вместе с вами?
Девочка посмотрела на него испытующе, чтобы убедиться, что он не шутит:
– Вы серьёзно хотите прервать свой путь в Вон Там и сойти со мной в Не Там?
– С удовольствием, – тоскливо сказал Пётр. Он никак не мог понять, подтрунивает над ним девочка или у неё просто не все дома.
– Это великолепно! – захлопала девочка в ладоши, на которых красовались рукавички.
При этих словах «Малая Медведица» остановилась и возница объявил:
– Не Там! Сходите!
Девочка вскочила и протараторила:
Стеклянная стена «Малой Медведицы» раздвинулась, они оба вышли, и пустой корабль снова отправился в путь. Петру показалось – правда, он не смог бы за это поручиться, – что возчик крикнул: «Но-о-о!»
Не Там
«Малая Медведица» быстро удалялась. Звёзды на её углах сияли жёлтым светом, а ракеты поблёскивали. Человек в жёлтом комбинезоне сидел на козлах как изваяние.
Пётр огляделся по сторонам.
Они стояли на маленькой планетке. Везде вокруг них были нагромождены кубы, призмы, цилиндры, пирамиды, параллелепипеды, ромбы и шары. Сами они стояли перед табличкой с надписью:
НЕ ТАМ
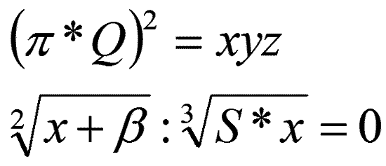
Немного поодаль в землю был воткнут гигантский циркуль, а за ним возвышалась белая скала, на которой были написаны разные формулы. Например:

– Ваш дядя, должно быть, великий математик, – с уважением сказал Пётр. – Мы этого в школе ещё не проходили.
– Да, – небрежно заметила девочка, – он удивительный, можно сказать, универсальный математик. Но пример Господина в чёрной шляпе даже ему не под силу.
– Пойдёмте к нему?
– Подождём несколько лет, он должен приехать на машине.
Пётр собрался удивиться этим нескольким годам, но вовремя вспомнил, что говорил ему возница «Малой Медведицы».
– Но я ведь вам ещё даже не представилась, – сказала девочка. – Я – May.
Пётр хотел сказать, что такого имени ещё не слыхивал, но подумал, что человек в коричневом комбинезоне мог бы заметить по этому поводу: «Вы вообще мало что слышали!» – и поэтому он просто пожал девочке руку в рукавичке:
– А я Пётр.
– Перт?
– Нет, Пётр.
– Очень странное имя, – сочувственно покачала шлемом May.
– На Земле так зовут многих мальчиков, – упрямо сказал Пётр.
– На Земле? Там я ещё никогда не была. – Этими словами May закончила разговор.
Мальчик не смог уже ответить, потому что раздался ужасный шум и треск. К ним медленно и с грохотом приближалась машина девочкиного дяди. Правда, «машина» было слишком смелым названием для такого чудовища. Однако нельзя было не признать, что оно ездило. Пётр с ужасом осмотрел машину: это было не что иное, как большущий конус, положенный набок и двигавшийся на четырёх кубах. Из небольшой трубы вырывались языки пламени, а из выхлопа валили клубы чёрного дыма.

Это «средство передвижения» наконец остановилось перед ними, конус открылся сбоку, и из него вывалился длинный человек в ярко-зелёном комбинезоне и в кубической формы шлеме, имевшем специальное отделение для бороды.
Человек бодро поднялся, отряхнул с себя пыль и заговорил :
– Вот ты и приехала, моя маленькая May.
– Я уже не такая маленькая, дядя, – ласково заметила девочка.
– А ну-ка покажись, – стал разглядывать её дядя. – Не надела ли ты туфли на высоких каблуках?
– Дядя, это мой знакомый – Перт, – сказала May.
– Пётр, – сухо поправил её мальчик. Дядя энергично потряс ему руку:
– Я – Тау. Очень приятно. – Он указал на свой транспорт: – Садитесь!
May бросилась к машине, но Пётр смущённо заметил:
– Не лучше ли пойти пешком?
– Ну что вы, – возразил Тау. – Это чрезвычайно удобный транспорт. – Он взял Петра за руки и втолкнул внутрь машины, сам влез вслед за ним, захлопнул дверцы, и чудовище загромыхало.
Пётр лежал внутри конуса между May и Тау, и его подбрасывало на ухабах так, что щёлкали зубы.
– Через несколько лет мы будем дома, – утешал его Тау и лёжа крутил какой-то квадратный руль на потолке.
Наконец они приехали и вывалились из конуса на землю.
Когда они поднялись, Пётр увидел высокий белый дом с многочисленными гранями, углами, пирамидальными башенками и балконами. Окна в доме были самой разнообразной формы: одно круглое, другое квадратное, третье треугольное. Лишь дверей он нигде не увидел. Зато с самого высокого балкона была спущена верёвочная лестница.
– Входите, Перт, – гостеприимно пригласил Тау.
– Во-первых, меня зовут Пётр, а не Перт, – ответил мальчик, – а во-вторых, я не знаю куда.
– Слышишь, May, как он математически выражается? – обрадовался дядя. – Сейчас я его познакомлю с решением моего примера. – И он полез по верёвочной лестнице.
Пётр посмотрел на May, она кивнула и тоже указала ему на верёвочную лестницу. Через минуту на ней были все трое, они раскачивались, ударялись об углы дома и скользили – главным образом по вине дяди, который всё время срывался и шатал всю лестницу.
Взобравшись на балкон, они долго не могли отдышаться.
– Почему у вас нет дверей? – спросил Пётр.
– Когда-то они были, – грустно ответил Тау, – но я забыл где и поэтому купил лестницу.
– И потом, это полезно – лазить по лестнице, – добавила May.
На это Пётр ничего не смог возразить.
С балкона они вошли в комнату. В комнате не было ничего, кроме досок: на стенах, на потолке и на полу. Все доски были исписаны числами, уравнениями, расчётами.
– Здесь... – с гордостью осмотрелся Тау.
Все поняли его. Здесь рождается его великое творение: решение примера, который задал ему Господин в чёрной шляпе.
Тау закрыл дверь на балкон и снял шлем. Вслед за ним то же самое сделала и May.
– Вы тоже можете снять свой шлем, – сказал Тау, – здесь мы герметически закрыты.
Тогда и Пётр последовал их примеру.
– Начнём с лёгкого ужина, который будет одновременно и арифметической загадкой, – объявил математик.
Он нажал зелёную кнопку, на полу отодвинулась одна из досок, и на её место поднялся столик с десятью блюдами и тремя чашками. При виде еды Пётр почувствовал голод. Он сразу бросился к столику.
– Будьте осторожны, – мягко отстранил его Тау, – не то обольётесь чаем.
Он нажал розовую кнопку, на потолке сдвинулась доска, и из трубки, которая оказалась за ней, полился чай. Тау подставил чашки и стал ждать, пока они наполнятся. Потом он снова нажал розовую кнопку, чай перестал капать, и доска вернулась на своё место.
А Пётр тем временем смотрел на блюда. В них было печенье: в первом – в форме единицы, во втором – двойки, в третьем – тройки и так далее до десятого, в котором были ноли.
– Вы здесь иностранец, Перт, – сказал Тау (Пётр уже потерял надежду, что тот когда-нибудь запомнит его имя правильно). – Я должен вам объяснить, о какой арифметической загадке пойдёт речь. Сумма всех печений, которые вы съедите, не должна превышать десяти. Вы хорошо меня поняли?