Рождение и гибель цивилизаций, стр. 95
Чтобы расшифровать тайное послание Данте мы должны, используя сокрытые в структуре «Божественной комедии» ряды чисел, построить одну, но состоящую из трех слоев пирамиду, ибо:
а) поэт проповедовал идею единства целого, понимая смысл гармонии в соподчинении элементов друг другу ради объединяющего их целого;
б) ратовал за объединение всего мира, это всегда звучало в его политических высказываниях, в его творчестве; объединение геометрических составляющих пространственного образа — символ его мироощущения;
в) в поэме можно встретить образы, свидетельствующие о желании автора синтезировать из простого сложное [43] — «строй членов мира уступами идет и, сверху взяв, потом вручает ниже».
Строя пирамиду, будем придерживаться следующих принципов:
а) используем египетское соотношение между высотой и периметром основания;
б) количество строк в очередной песне поэмы будет восприниматься нами как объем очередного слоя пирамиды, заключенного между двумя плоскостями, параллельными основанию, расстояние между которыми определится геометрией пирамиды;
в) строить начнем с вершины;
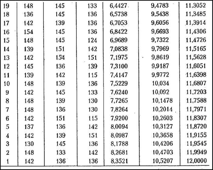
г) первым в ряду цифр будем считать количество строк последней песни произведения — песни 33 части «Рай» (см. табл. 17, 18).




В песне 33 части «Рай» Данте пишет [43]:
К этим двум строкам нужно отнестись как к подсказке: автор поэмы сравнивает путь через чистилище в рай с затеей, продолжавшейся 2500 лет. Нам известна и точка на оси времени, от которой нужно отложить эти двадцать пять веков. Это 1310 год — дата письма Данте к королю (аналогия с письмом к сыну Цезарю в исследовании «Центурий» Нострадамуса).
Логика проста. Начало отсчета времени должно предшествовать 1310 году. Даты календаря отсчитываются от вершины пирамиды. Интервал в 2500 лет занимает на пирамиде расстояние от вершины до границы между нижним (часть «Ад») и средним (часть «Чистилище») слоями, являющимися нашей грешной Землей, где Данте и писал в 1310 году письмо к королю. Двадцать пять веков отмеряются на календаре 10,5207 условной единицы длины или 10,5207 отрезками в 1/12 часть высоты пирамиды.
Точкой отсчета времени, которую Данте поместил на вершине пирамиды, является 1190 (не исключено—1200) год до нашей эры:
1310–2500 = -1190.,
А масштаб времени получается при делении чисел:
2500 / 10,523–237,575.
Округление дает 238. Очень близко символическое 240. Совсем рядом число 235, соответствующее количеству лунных месяцев в 19-летнем цикле повторения во времени события совпадения конкретных фазы луны и даты солнечного года, которое отслеживалось жрецами и Старого Света, и доколумбовой Америки.
Имея точку отсчета и масштаб времени, проще всего проверить календарь, узнав, какую он назовет дату, когда мы спустимся к основанию пирамиды «на дно ада». Формула для вычисления следующая: минус 1190 (возможно, минус 1200) плюс 237,575 (возможно, 235, 238 или 240) умножить на 12 единиц. Если перебрать все возможные комбинации, получаются следующие даты (табл. 19), одна из которых должна подтвердить, что мы нашли правильное решение.

Очевидно, что наиболее подходящей датой для «дна ада» является 1666 год (начало отсчета —1190 год до нашей эры, масштаб времени 238 лет/единиц). Шкала времени, имеющая начало отсчета 1190 год до нашей эры и масштаб времени 238 лет/единиц, показана в табл. 20.

Даты 1190 год до нашей эры, 798, 1313 и 1666 годы доказывают, что мы шли маршрутом, проложенным Данте. 1190 год до нашей эры — время правления фараона Рамсеса IV, последнего, кто сумел обеспечить могущество и величие Древнего Египта, когда во главе богатого, хорошо организованного государства стоял царь — фактически бог. После Рамсеса IV страну начали сотрясать войны и внутренние распри. 1190 год — вершина монархического рая, о котором мечтал Данте. 798-й — время правления Карла Великого (742–814), — последнего монарха, объединившего Европу, создавшего империю, достойную называться наследницей Древнего Рима. Всего через два года — в 800-м — сам Папа Римский Лев III (750–816 годы) коронует его императорской короной. Интересно, что если умножить высоту 8,3521 не на 238, а на 240, то (при том же начале отсчета 1190 год) мы получим цифру 814. В 814 году последний великий император умер, что привело к распаду империи, покрывавшей территорию многих современных европейских государств.
В понимании Данте в 798 (в 814) году закончилось время «рая» и началось «чистилище». Вход в «ад» обозначен двумя цифрами тринадцать (1313 год). Современники поэта, видимо, были последними, кому посчастливилось не попасть в «ад». Цифра 1666 содержит три шестерки. В том злополучном году конца света не случилось, если не считать большого пожара в Лондоне. Но Данте важно было показать, что это именно дно «ада», что он очень остроумно и сделал. Вершина пирамиды, вершина «рая», начало отсчета времени на календаре находятся в 1190 году до нашей эры.
Общая протяженность пирамиды измеряется 2856 годами: 1666 + 1190–2856.
В 798 году закончилось время «рая» и началось время «чистилища».
1313 год — рубеж между «чистилищем» и «адом».
1666 год — «дно ада».
Но в циклично меняющемся мире всегда есть надежда на лучшие времена. Как известно, главный герой «Божественной комедии», побывав на самом дне ада, совершает трудный подъем через ад и чистилище в рай. Если следовать логике предшествующих вычислений, то годом выхода на границу между адом и чистилищем календарь назовет 2019 год:
1666+ (1666–1313) = 2019.
Соответственно, границей между чистилищем и раем станет 2534 год:
1666 + (1666 — 798) = 2534.
А на вершину пирамиды — на вершину рая — история придет в 4522 году: 1666 + (1666 + 1190) — 4522,
Таково пророчество, оставленное потомкам автором «Божественной комедии». Вероятно, Данте и Нострадамус в своих тайных посланиях Говорили об одном и том же. И это «одно и то же» было и остается крайне важным и для великих авторов, и для всего человечества Чтобы постигнуть Тайну, необходимо шагнуть на следующий — более высокий — уровень понимания древних. И такой шаг мы сейчас сделаем…
Глава VI
ГОРОДА,
РОЖДЕННЫЕ ПОД СОЗВЕЗДИЕМ ОРИОНА
Ориентация величественных элементов некрополя в Гизе, направление отверстий и проходов в пирамидах точно соответствуют расположению тех или иных звезд в определенные, зафиксированные моменты времени. Главной «темой» проекта некрополя является попытка воспроизведения на поверхности Земли астрономической карты пояса созвездия Орион.
Из-за прецессии оси Земли небесная сфера и вместе с ней созвездия непрерывно меняют свое положение относительно земного наблюдателя, даже если мы обращаем свой взор на небо только, например, в день весеннего равноденствия. А пирамиды тысячелетиями остаются неподвижными, «вкопанными» в вечные и тяжелые пески Египта. Сооружения не перенесешь, и они стоят на отметке 30 градусов северной широты, храня память о боге Осирисе и акте объединения Верхнего и Нижнего Египта в одно государство со столицей в Мемфисе.