Кто бы мог подумать?, стр. 28
Когда у Матвея спала температура, ему стало ужасно скучно. В палате были сплошь малыши, самому старшему лет шесть. Смешно путаясь в длинных пижамках, они возились на кроватях, а то и на полу, тузили друг друга, что-то один у другого отнимали. Приходила нянька и ворча растаскивала их по кроватям.
Он лежал и раздумывал. Что-то делают сейчас интернатские ребята? Может быть, именно в эту минуту Любовь Андреевна читает им очень интересную книгу. Или они уже учат уроки. Коля Воронков мучается над задачей. С каким удовольствием Матвей решил бы ему эту задачу. И любые примеры. А Костя? Хоть одним глазком подглядеть бы, что делает сейчас Костя. Как здорово он тогда прогнал мальчишек-драчунов. Кинулся на них без всякого страха, как лев. Потому что его товарища били. То-ва-ри-ща! А Томка к кому сейчас пристаёт? Кому хочет перевязать царапину?
И вдруг Матвей, сам удивившись, понял, что он здорово скучает без ребят. Наконец ему позволили выйти в больничный сад. Погода стояла отличная.
Под деревом на скамейке сидел, вытянув ногу, высокий дядька. Нога была толстая и белая. На скамейке возле дядьки стоял клетчатый шахматный ящик, и лежали костыли.
Матвей остановился на некотором расстоянии и стал рассматривать ногу.
— Как тебя зовут? — спросил дядька с белой ногой.
— Матвей. Какая у вас нога…
— Да, неважная. В гипсе. А ты с чем лежишь, галчонок?
— Я не лежу, я стою, — сказал Матвей.
— Так ты лучше садись. — Человек похлопал ладонью по скамейке возле себя и, когда Матвей сел, переспросил: — Так с чем ты тут сидишь?
— С воспалением лёгких. Уже температура нормальная. От пенициллина.
— Вот это хорошо, что нормальная. А мне, понимаешь, в шахматы сыграть не с кем. Партнёр мой на перевязке.
— А вы сыграйте со мной, — предложил Матвей.
— Ну что ж, попробуем… — усмехнулся новый знакомый.
После нескольких ходов Матвея он заметил с удовольствием:
— Э-э, да ты кое-что смыслишь, галчонок! Не ожидал, не ожидал!
— Не знаете ли вы, что такое дроби? — спросил Матвей.
Дядя Лёня оказался инженером. Он знал не только дроби, а и много интересных задач, и кучу любопытнейших историй про древних математиков. Удивительно повезло Матвею. Чтобы познакомиться с таким замечательным человеком, стоило заболеть не только воспалением лёгких, а даже холерой.
Теперь они заодно!

В первый же день его появления в интернате к Матвею подбежала Соня. Она улучила момент, когда рядом никого не было. Матвей один шёл в медкабинет. Медсестра велела ему приходить каждый день: «Буду давать тебе укрепляющее лекарство».
— Как я рада, что ты поправился! — быстро проговорила Соня. — Я так боялась…
Соня показалась Матвею другой. Щёки и косы стали у неё потолще, а школьная форма покороче: Соня выросла. Впрочем, выросли все, кроме Воронкова. Улыбалась Соня тоже иначе, чем прежде: как-то робко, совсем непохоже на прежнюю ехидную улыбочку.
— Чего ты боялась? — буркнул Матвей. — Что некому тебя поколотить будет?
— Чтобы ты не помер, боялась, — тихонько сказала Соня. — От сильного воспаления лёгких помирают. Я никогда не буду тебя дразнить.
Матвей и забыл про Сонину дразнилку, а теперь вспомнил.
— Думаешь, я тогда сразу не догадался, кто поёт «звездочёты-пересчёты»? Дура!
От обиды Соня вспыхнула, потом побледнела:
— С тобой по-хорошему, а ты…
Она повернулась и побежала от него, всхлипывая как-то по-щенячьи.
Матвею стало не по себе. За что он с ней так грубо? Разве она сказала ему что-нибудь плохое? Только что боялась, как бы он не помер. Глупо, конечно, но ехидства в этом нет. Мать-то у неё хоть выздоровела?
Очень недовольный собой, Матвей зашагал в медкабинет.
Но когда перемена кончилась, он вмиг утешился, сразу забыл про Соню. Был урок арифметики. Они писали контрольную.
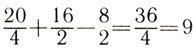
В задаче надо было к 5 карандашам прибавить 8 карандашей, а потом отнять 4 карандаша. Решение Матвей записал так:

Взяв в руки тетрадь Матвея, Антонина Васильевна воскликнула:
— Что ты тут нагородил? Всё записал дробями? Ох, Матвей! Всему своё время. Что я должна тебе поставить за эту контрольную? Пиши всё снова! — И она дала ему неосуществимый совет: забыть про дроби.
После звонка к Матвею подошёл Костя Жуков и заявил:
— Ты в моей звёздочке. Поручаю тебе срочно подтянуть Воронкова по арифметике. Он всю нашу звёздочку тормозит!
Замечательная новость! Не то, конечно, что надо Колю Воронкова подтянуть по арифметике, а совсем другое: Костя-то — командир Матвея! Ведь Матвей даже не знал, что без него второклассники стали октябрятами, разбились на звёздочки. В Костиной звёздочке оказались кроме самого Кости и Матвея ещё Коля Воронков, Слава Гордеенко и Клава Гущина. Томка тоже стала командиром. В её звёздочку попали Соня, Аллочка Замшина и Окуньки. И ещё были три звёздочки.
Матвей твёрдо решил, во что бы то ни стало, хоть кулаками, научить Воронкова решать задачи. Когда-то Любовь Андреевна уже просила его заняться с Колей. Но совсем другое дело, если такое поручение дал ему Костя, его командир. Теперь они в одной звёздочке и во всём должны быть заодно. Костя так ему и сказал.
— Помни: мы теперь заодно!
Вся звёздочка гордилась Костей. Да и весь класс им гордился. Ещё бы! За несколько дней до возвращения Матвея Костя спас ребёнка. Это случилось на пляже в одну из суббот. Мать малыша с кем-то заговорилась и не заметила, как её ребёнок упал в море. Мало того, что упал, но волна сразу откатила его от берега. Как был, в одежде, Костя, не раздумывая, бросился в воду и вытащил тонущего малыша. Директор похвалил Костю за мужество на линейке перед всеми ребятами. Второклассники наперебой рассказывали Матвею об этом необыкновенном происшествии.
Стешу Матвей увидел на другой день, как приехал в интернат. Он не искал её. Стеша сама пришла на лужайку за домом, где гулял второй класс.
— Выздоровел, Матвейка? — сказала она обрадованно.
Но тут же выяснилось, что пришла она совсем не к нему, а… к Окунькам. Стеша отозвала близнецов в сторону и потихоньку о чём-то с ними разговаривала. Выражение лица при этом у неё какое-то необычное: немножко сердитое, немножко смущённое и немножко неспокойное. Матвей подошёл поближе и услышал слова одного из Окуньков:
— Да, мы тоже знаем про сынов. Мы её спросили: «Тётя Доня, а у вас своих детей не было?»
— А она, — заговорил другой Окунёк, — а она… «Как же, — говорит, — не было? Два сына». Оба…
— Я и без вас знаю, что они на войне убитые, — перебила Стеша. — Так вот, чтобы вы с расспросами к моим Чертополохам не приставали!.. Вообще, смотрите у меня! Если что сделаете у дяди Миколы не так, я вам головы поотрываю!
— А мы чего? — сказал один Окунёк.
— А мы ничего, — сказал другой. — А ты не задавайся!
— Дураки вы! — вздохнула Стеша. — И вообще они бы меня совсем к себе взяли. В дочки. Я ведь к ним третий год хожу. Вся остановка в том, что они старые. Удочерить им не разрешают. А увнучивать не полагается.
Матвей слушал и понимал только одно: пока его не было, Стеша как-то по-особенному познакомилась с Окуньками. И какие-то у них общие дела.
И почему-то Стеша Окуньков, кажется, немного недолюбливает.
— Вы Стешу не вздумайте обижать! — на всякий случай сказал Матвей.
Стеша машинально положила руку ему на плечо, но, хотя этим жестом ясно выражалась её приязнь, он чувствовал, что в эту минуту она совсем о нём не думает.
И тут Стеша вполголоса произнесла что-то совсем непонятное:
— Мне как-то тётя Доня сказала… Ты не думай, говорит, у нас на всех хватит…
Близнецы захлопали глазами.
— Чего хватит? Борща? Так мы можем не есть, — сказал один.
— Тем более мы почти всегда ходим к дяде Миколе после обеда, — добавил другой.