Новый ум короля: О компьютерах, мышлении и законах физики, стр. 32

раз меньше размеров частиц. И совершенно не ясно, есть ли какой бы то ни было физический смысл у столь абсурдно малых масштабов. То же самое можно сказать и в отношении столь же малых интервалов времени.
Система действительных чисел выбрана в физике в силу ее математической полезности, простоты и изящества, а также поскольку она согласуется на очень широком интервале масштабов с физическими понятиями пространства и времени. Она выбрана не потому, что мы будто бы знаем, что она согласуется с упомянутыми физическими величинами на всех масштабах. Такое согласие вполне может не иметь места на очень малых пространственных и временны́х масштабах. Обычные расстояния измеряются при помощи линейки, но линейка оказывается «зернистой» при переходе к масштабам образующих ее атомов. Само по себе это не мешает нам продолжать использовать действительные числа подходящим образом, но измерение меньших расстояний требует уже гораздо большей изобретательности. По крайней мере, мы должны быть готовы предположить, что на очень-очень малых масштабах могут встречаться принципиальные трудности с расстояниями. Как оказывается, природа оказалась к нам на удивление благосклонна, сделав те самые действительные числа, которые мы привыкли повседневно применять для описания предметов на макромасштабах, пригодными для описания расстояний гораздо меньших атомных — по крайней мере, на масштабах, равных одной сотой «классического» диаметра элементарной частицы — такой, как электрон или протон, — и, по-видимому, вплоть до «масштабов квантовой теории гравитации», что на двадцать порядков меньше размеров таких частиц! Это пример исключительно сильной экстраполяции нашего опыта. Сфера применимости привычного понятия расстояния, измеряемого действительными числами, по-видимому, простирается до самых далеких квазаров и еще дальше. Общий диапазон измеримых расстояний составляет 1042, а может быть, 1060 или даже больше. Кстати, сомнения в правомерности использования системы действительных чисел высказывались не так уж часто. Почему же мы так уверены в том, что эти числа дают точное описание физических явлений, хотя реально об их применимости мы знаем лишь в весьма ограниченном диапазоне масштабов? Должно быть, эта уверенность — возможно, неверная — основывается на (правда, не очень часто признаваемых) логическом изяществе, внутренней согласованности и математической мощи системы действительных чисел в сочетании с верой в глубинную математическую гармонию природы.
Комплексные числа
Оказывается, что действительные числа — это не единственная математически мощная и изящная система чисел. Система действительных чисел все же не лишена некоторых неудобств. Например, квадратные корни можно извлекать только из положительных чисел (или нуля), но никак не из отрицательных чисел. С математической точки зрения — и отвлекаясь пока что от вопроса о непосредственной связи с физическом миром — было бы очень удобно иметь возможность извлекать квадратные корни как из положительных, так и из отрицательных чисел. Давайте постулируем существование, или попросту «изобретем» квадратный корень из числа -1. Обозначим его буквой i. Тогда мы имеем:
i 2 = -1.
Величина i, конечно же, не может быть действительным числом, поскольку произведение действительного числа на самого себя всегда положительно (или равно нулю, если само число равно нулю). Поэтому числа, квадраты которых отрицательны, обычно называют мнимыми. Следует, однако, отметить, что эти «мнимые» числа не менее реальны, чем ставшие уже привычными «действительные» числа. Как я уже отмечал выше, связь таких «действительных» чисел с физической реальностью далеко не столь непосредственна и убедительна, как может показаться на первый взгляд, и основана на математической идеализации о допустимости бесконечного уточнения, которая не имеет ясного априорного обоснования в природе.
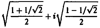
Имея квадратный корень из -1, можно без особого труда получить квадратные корни для всех действительных чисел. Если а является положительным действительным числом, то величина i х √a есть квадратный корень из отрицательного действительного числа — а. (У этого числа есть еще другой квадратный корень, а именно — i х √а.) Ну, а что же можно сказать о самом числе i ? Есть ли у него квадратный корень? Разумеется есть, поскольку, как легко проверить, величина
1+i /√2
(равно как и та же величина, взятая с отрицательным знаком), будучи возведена в квадрат, равна i. А у этой величины, в свою очередь, есть квадратный корень? Ответ опять положительный: квадрат числа

Обратите внимание, что при образовании такого рода величин мы позволили себе складывать действительные и мнимые числа, а также умножать наши числа на произвольные действительные числа (или делить их на произвольные ненулевые действительные числа, а это то же самое, что умножать их на обратные величины). Получаемые таким образом объекты называются комплексными числами. Комплексное число это число вида: а + ib, где а и b — это действительные числа, называемые, соответственно, действительной и мнимой частью комплексного числа. Правила сложения и умножения двух таких чисел вытекают из обычных правил (школьной) алгебры с одним дополнительным правилом i 2 = — 1:
(а + ib) + (с + id) = (а + с) + i(b + d),
(а + ib) х (с + id) = (ас — bd) + i(ad + bc).
Удивительное дело: к созданию этой системы чисел нас подтолкнуло желание иметь возможность извлечения квадратных корней из любых чисел. Эта цель достигнута, хотя само по себе это еще не очевидно. Но новая система чисел позволяет делать гораздо больше: безнаказанно извлекать кубические корни, корни пятой степени, корни девяносто девятой степени, корни π-й степени, корни степени 1 + i и т. д. (это смог доказать еще в XVIII веке великий математик Леонард Эйлер). В качестве другого примера волшебных свойств комплексных чисел рассмотрим довольно сложные на вид тригонометрические формулы, которые проходят в школе. Так, синус и косинус суммы двух углов
sin (А + В) = sin A cos В + cos A sin В,
cos (А + В) = cos A cos В — sin A sin В
представляют собой, соответственно, просто-напросто мнимую и действительную части гораздо более простого (и легче запоминаемого!) комплексного уравнения [62]:
e iA+iB= e iA e iB
Все, что нам нужно здесь знать, это «формула Эйлера» (по-видимому, полученная за много лет до Эйлера замечательным английским математиком XVI века Роджером Котсом):
e iA= cosA+i sinA,
которую мы теперь подставим в приведенное выше уравнение. В результате имеем:
cos (А + B) + i sin (А + В) = (cosА + i sinA)(cosВ + i sinВ),
и, выполнив умножение в правой части, получим искомые тригонометрические соотношения.
Более того, любое алгебраическое уравнение
(где a0, a1, a2….,an являются комплексными числами и an≠ 0) всегда имеет своим решением некоторое комплексное число z. Например, существует комплексное число, удовлетворяющее соотношению: