Занимательная математика, стр. 14

Мне кажется, джентльмены, что эта одна из задач на умение мысленно представить себе расположение фигур на шахматной доске, в решении которых вы достигли таких вершин.
Завсегдатаи клуба переглянулись и согласились, что предложенная юным Николасом задача действительно интересна. Затем любители шахмат и шашек приступили к решению. Они раздобыли комплект из 31 домино и принялись усердно выкладывать их на шахматную доску то одним, то другим способом, но, как ни бились, покрыть доску домино так, чтобы поле в правом нижнем углу доски осталось свободным, им не удавалось.
Через несколько дней они официально уведомили юного Николаса, что покрыть шахматную доску так, чтобы поле в правом нижнем углу доски осталось свободным, невозможно. Тем самым задача была решена.
— Но откуда вы знаете, что задача неразрешима? — спросил Николас.
— А как же? — удивился один из завсегдатаев клуба. — Мы перепробовали укладывать домино на шахматную доску всевозможными способами, и ни один из них не привел к желаемому результату, поэтому решение невозможно.
— Думаю, что вы правы, — признал юный Николас, — хотя и не объяснили, почему задача неразрешима.
— Как почему? — в один голос воскликнули завсегдатаи клуба. — Потому что нам не удалось найти его.
— Мне бы хотелось, джентльмены, получить более обоснованный ответ, — мягко возразил юный Николас.
— А какой ответ может быть более обоснованным? — искренне удивились члены клуба.
— Хотя бы следующий, — пояснил юный Николас. — Я бы предложил рассматривать задачу с такой точки зрения. Поскольку на любой шахматной доске число черных и белых полей одинаково, а каждый камень домино покрывает ровно одно черное и одно белое поле, то два поля, оставшиеся непокрытыми, должны быть различного цвета. Между тем угловые поля, стоящие на противоположных концах диагонали, — одного цвета. Следовательно, как бы вы ни покрывали шахматную доску камнями домино, вам не удастся расположить домино так, чтобы угловые поля на одной диагонали остались свободными. Перед нами, джентльмены, любопытный образчик задачи, в которой введение на первый взгляд ничего не значащего условия упрощает решение. В действительности же все, что необходимо для формулировки задачи, это квадрат (доска), разлинованная «в клеточку» на 8 х 8 меньших квадратов. Шахматная раскраска меньших квадратов здесь ни при чем — все квадраты могут быть одного цвета. Другое дело, что для решения задачи нам придется разделить квадраты на две группы — одни могут быть черными, а другие белыми. И такое разделение позволяет легко и просто решить задачу!
Кирпичики
На одного из завсегдатаев клуба логика рассуждений Николаса произвела столь сильное впечатление, что он предложил принять Николаса в члены клуба и предоставить тем самым юному дарованию возможность играть в шашки. Другой завсегдатай клуба решительно возражал против принятия Николаса в члены клуба, ссылаясь на то, что тот «еще мал для этого» и что ему более пристало по возрасту играть в детские игры.
— Лучше всего в кубики, — с презрительной усмешкой добавил он.
Другой член клуба, относившийся к юному Николасу с большой симпатией, заметил:
— Кстати, о кубиках, джентльмены. Я вспомнил об одной задачке. Требуется возвести некоторое сооружение, используя в качестве кирпичей домино. Мне кажется, что эта задачка могла бы представить для вас определенный интерес.
— Не думаю, чтобы нам стоило тратить время и выслушивать какие-то задачки о возведении игрушечных сооружений из домино, — возразил другой член клуба с плохо скрытым отвращением.
— Но почему бы вам не выслушать задачку? — настаивал первый. — Вдруг она вам понравится.
Предположим, что у вас имеется неограниченный запас домино. Задача состоит в том, чтобы построить из домино столбик, верх которого образует как можно длинный «козырек», т. е. смещен на максимальное расстояние относительно основания. Вы вольны сдвигать каждое домино относительно предыдущего на сколько угодно большое или малое расстояние. Важно лишь, чтобы весь столб был устойчив и не опрокидывался.
Сразу же было высказано несколько догадок относительно того, сколь велик может быть «козырек». Оценки колебались от половины до целого домино (по длине).
— Должен огорчить вас, джентльмены, — заявил с улыбкой член клуба, отстаивавший Николаса, — но я не слышу ни одного правильного ответа.
— А какой же, по-вашему, длины может быть козырек? — спросили его с нетерпением завсегдатаи клуба.
— Как ни странно это звучит, джентльмены, — последовал невозмутимый ответ, — но козырек можно построить любой длины.
— Не верим! — в один голос воскликнули присутствовавшие. — Докажите!
— А что ты думаешь по этому поводу, Николас? — спросил у юного Николаса его сторонник.

— Задача решается очень просто, — ответил юный Николас. — Устойчивость в столбике можно анализировать начиная с верхнего домино и постепенно, шаг за шагом, спускаясь ниже. Максимальный сдвиг верхнего домино относительно домино, лежащего непосредственно под ним (второго сверхуj, равен половине домино, поэтому центр тяжести верхнего домино приходится на грань второго сверху домино.
Итак, сдвиг на половину длины домино у нас уже есть. Выясним теперь, где находится центр тяжести двух верхних домино. Если мы попытаемся водрузить два верхних домино поверх третьего, то обнаружим, что общий центр тяжести находится на расстоянии, равном 1/4 длины домино, от покрытого сверху конца среднего домино. Поэтому два верхних домино мы можем водрузить поверх третьего сверху домино с дополнительным сдвигом, равным 1/4 длины домино.

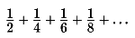
Вычислив центр тяжести трех верхних домино, мы обнаружим, что он находится на расстоянии, равном 1/6 от покрытого двумя верхними домино конца третьего домино. Продолжая этот процесс, мы обнаружим, что полный сдвиг оказывается равным
и т. д. до бесконечности.
— Все ли здесь корректно математически? — спросил один из завсегдатаев клуба у того члена клуба, который сформулировал задачу и, как оказалось, был математиком.
— Все корректно, — заверил математик других членов клуба. — Написанную Николасом формулу можно представить в виде
Сумма в квадратных скобках известна под названием гармонического ряда. Он расходится; под этим я имею в виду, что, суммируя ряд, мы можем превзойти любое наперед заданное число. Проще всего убедиться в этом, объединив члены ряда в группы, сумма членов в каждой из которых больше 1/2. Действительно, разобьем члены ряда на группы следующим образом:
Нетрудно видеть, что сумма членов в каждой группе больше 1/2, то есть 1/3 + 1/4 больше, чем 1/4 + 1/4 = 1/2, 1/5 + 1/6 + 1/7 + 1/8 больше, чем 1/8 + 1/8 + 1/8 + 1/8 = 1/2 и т. д.
Вы видите, джентльмены, что, задав длину «козырька», т. е. величину сдвига, вы можете без особого труда вычислить из скольких домино вам придется возвести столб, если воспользуетесь формулой, предложенной юным Николасом. Я вел свои расчеты сверху вниз, но строить столб из домино вам, разумеется, придется как обычно, снизу вверх.
Разноцветные нити
Задачи о покрытии шахматной доски домино и о сооружении «козырька» из домино настолько захватили членов «Клуба любителей шахмат и шашек», что они стали посматривать друг на друга, не найдется ли у кого-нибудь еще интересной задачки. Молчание решился прервать юный Николас.