Давай вместе, стр. 43
И так, мало-помалу, мы заставляем друг друга говорить откровенно и каждый из нас обдумывает услышанное.
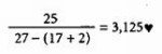
Потом переходим к подробностям. Начинаем с обычного вопроса: сколько всего женщин было у меня и сколько мужчин у нее. Не могу точно сказать, какова реакция Эми на мой ответ (около двадцати пяти). Но, когда она сама, закрыв глаза, начинает считать свои победы, загибая и разгибая пальцы на руках, и говорит: «Двенадцать», я искренне удивлен. Подставляю эти цифры в уравнение развращенности, которое мы с Мэттом вывели на досуге. Для вычисления коэффициента развращенности (v), то есть среднего количества человек, с которыми ты переспал в течение одного холостяцкого года, требуются следующие данные: общее число половых партнеров (W); возраст на данный момент (X); возраст, в котором лишился девственности (Y); число лет в сожительстве (Z). Уравнение имеет вид:



И вот результат: хотя у нее было меньше половых партнеров, чем у меня, уровень развращенности у нас почти одинаковый. Когда у нее не было постоянного парня, в среднем за год получалось трое мужчин. У меня же в среднем было по 3, 125 женщины в год.
Даже и не знаю, что думать по этому поводу. Конечно, неплохо, что мы оба примерно одинаково опытны в этих делах и ни одного из нас нельзя считать более развращенным. Но вообще-то я в шоке. Себя-то я считаю немного распутным парнем. Так что, значит, Эми — распутная женщина? Может, следует насторожиться? Когда дело касается женщин, я себе не доверяю. Смогу ли я доверять ей, если дело коснется другого мужчины? Или просто мое мужское достоинство задето тем фактом, что Эми прекрасно может развлечься и без меня?
Как бы там ни было, я заинтригован. И хочу услышать от нее подробности. Я спрашиваю. Она отвечает. Поименно, покроватно. Начиная с первого (Уэйн Картрайт, за сараем для велосипедов, средняя школа Элмесмер) и заканчивая последним (Мартин Роббинс, за шесть месяцев до меня, на свадьбе в Уэльсе). Начиная с самого младшего (снова Уэйн Картрайт, 17 лет) и заканчивая самым старшим (Саймон Чадвик, музыкант сорока лет). Начиная с худшего (Алан Вуд, юрист, тридцать с небольшим лет, разведен) и заканчивая лучшим (Томми Джонсон, художник-декоратор из Вест-Энда). Подробно рассказывает о своей самой продолжительной ошибке (Энди, агент по продаже недвижимости, с которым они вместе жили) и самой короткой («Джимми или Джонни, точно не помню. Я напилась и обкурилась. Вообще мало что о нем помню»).
И где-то в разгаре нашей беседы, несмотря на то что наши откровения взаимны, у меня возникает странное чувство. Оно приходит вдруг, ниоткуда, но, появившись, уже не оставляет меня. Эми продолжает говорить, я слушаю, но мне вдруг становится тошно. Я начинаю представлять себе все, что она рассказывает. Я невольно представляю себе то, что она выделывала с этими типами. Все то же самое, что и со мной; то, что связывает нас с ней воедино. Понимаю, что это полный бред, но мне от этого не легче. У меня уже давно не было такого чувства. Потому что мне уже давно было на всех начхать. Почти все девчонки, с которыми я спал, ничего для меня не значили — так, развлечение на одну ночь. Я практически ничего о них не знал, а их прошлые интрижки с другими парнями меня совершенно не касались. Да и с чего бы? Я же не собирался продолжать с ними отношения. У меня с ними и будущего-то не было, так зачем волноваться о прошлом?
Но сейчас все иначе, совершенно иначе. Последние несколько дней я много думал о том, что сказала мне Эми в ванной Хлои. О тех трех словах. И я думал, что, наверное, должен был ответить ей по-другому. Потому что Эми дорога мне. Очень. Кажется, я влюбился в нее. Поэтому мне так больно слышать все эти откровения. Я хочу, чтобы она была моей. Только моей. Вся без остатка. А значит, я должен знать о ней всю правду, в том числе и эту. Но я не хочу знать, что она могла изменить своему парню. Что она могла напиться и лечь в постель с кем попало, поскольку была не в состоянии уехать домой. Я был бы счастлив не знать всего этого. Потому что я не хочу, чтобы подобное случилось со мной.
Я сопротивляюсь этому чувству, пытаюсь заставить себя не быть такой задницей. А ей каково после моих откровений? Так что нечего трагедию ломать. Не стоит ревновать и бояться. Не надо опускаться до такой низости. Не поддавайся этим мыслям. Наоборот, это даже хорошо, что вы открыто во всем друг другу признались. Это нормально. Пойми, всем приходится мириться с подобными фактами, всем, за исключением тех, кому удалось жениться на девственнице.
— Но с ними все кончено? — спрашиваю я, закончив со своим номером двадцать пятым и выслушав о ее номере двенадцатом.
Она пристально смотрит мне в глаза и говорит: — Да.
— Все они в прошлом? Между вами все кончено? Никто никому ничего не должен?
— Нет.
— Хорошо, — говорю я, стараясь скрыть облегчение. — Я рад.
— А у тебя? — допытывается она. — Я все теперь знаю или были еще женщины? Старая любовь?
— Нет, — уверяю я, — только ты.
— А Зоя? К ней у тебя не осталось никаких чувств?
— Нет.
— А к Салли?
— Нет.
Она смотрит на стол.
— Она тебе не звонила?
— Нет, и, думаю, не позвонит. Кейт сказала, что они с Джонсом уехали в Глазго — пытаются наладить отношения.
Эми кивает, — кажется, удовлетворена ответом. Потом поднимает взгляд и спрашивает:
— А Хлоя?
Наверное, если бы она попросила меня спустить штаны и описать всю улицу, я бы не больше удивился. Я пытаюсь сказать: «Что?» — но получается только «О?».
— Ты ей нравишься.
— Скажешь тоже! Мы всего лишь хорошие друзья.
— Ну и что? Знаешь, друзья иногда и в постели дружат.
— Ну да, — говорю я, а у самого голос виноватый. — Только это не про нас, понятно?
— И что, никогда не хотелось? Ведь это самое главное. Не то, спал ты с ней или нет, а твои мысли — думал ли ты об этом.
— Нет. Этого не было и не будет. Эми наклоняется ко мне и целует.
— Вот и хорошо, — говорит она с улыбкой. — Прости, но я должна была спросить об этом.
— Почему?
— Почему? Потому что, если бы ты был к ней неравнодушен, я бы не смогла с ней дружить. Я бы ее к тебе на пушечный выстрел не подпустила. Ты же понимаешь?
— Да, но теперь, надеюсь, все разъяснилось?
— Да. — Она вынимает бутылку из ведерка со льдом. Пустая. Потом смотрит на часы. — Пошли, — говорит она. — Пора к Максу, а то опоздаем.
ВЕЧЕРИНКА
Вечеринка у Макса приносит значительное облегчение. Максимальное облегчение. Этот вечер можно было бы заснять и пускать как рекламный ролик: «надежное средство облегчит ваши страхи и страдания» — для парней, которые, подобно мне, боятся знакомиться с компанией своей девушки.
Как только Макс открывает дверь, я перестаю нервничать и напрягаться. Он приветливо улыбается: «Эй, это и есть твой новый парень». И все.
Просто протягивает мне банку холодного пива, обнимает Эми, жмет мне руку и проводит нас в комнату.
В квартире уже человек шестьдесят. Возраст — от двадцати до тридцати с небольшим. Я оглядываю гостей и прихожу к выводу, что с виду — вполне нормальные люди. Бояться их вроде бы нечего: это не шабаш сатанистов и в углу нет окровавленного алтаря, не сборище извращенцев в латексе. Другими словами, ничто не вызывает подозрений, что Эми не та, за кого себя выдает.
На несколько минут мы задерживаемся в дверях, и Эми вкратце рассказывает мне о компании. Потом смешиваемся с толпой, останавливаемся у каждой группы, я улыбаюсь, шучу, пытаюсь запомнить имена, а в перерывах между остановками Эми нашептывает мне на ухо самые свежие сплетни о собравшихся. Надо сказать, это ужасно утомительно. Я замечаю, что борюсь с желанием взять Эми в охапку и утащить подальше отсюда. Хоть на пять минут. Я тут как на смотринах. С некоторыми из гостей она знакома с детства. Для них я, наверное, всего лишь очередной дружок Эми, фигура малоинтересная и непостоянная.