Путевые заметки рассеянного магистра, стр. 18
— Мне кажется, я подметила в задании Мюнхгаузена некоторую закономерность. Если к тем числам, которые сейчас называли наши гости, приписывать зачёркнутую ими цифру, получается число, кратное девяти.
Все шумно стали проверять Танино предположение. Она оказалась права. Ей устроили овацию. Однако взлохмаченный активист потребовал доказательства: а ну как все это просто случайность?
Но Таня доказательства не знала. Выручил её, как всегда, Олег. Он предложил все действия над задуманными числами записать в общем виде, а вычисления начать с самого начала.
— Для быстроты вычисления, — продолжал он, — пусть задуманное число будет четырехзначным. Тогда в общем виде оно запишется так:
1000x+100y+10z+t.
— В таком случае сумма его цифр, — снова перебил взлохмаченный активист, — равна x+y+z+t.
— Правильно, — подтвердил Олег. — А теперь надо вычесть из задуманного числа сумму его цифр:
1000x+100y+10z+t-(x+y+z+t), что равно
999x+99y+9z.
— Смотрите, — вмешалась Таня, — последняя цифра (t) исчезла. Значит, она может быть любой!
— Правильно подметила! Остаётся взять девятку за скобки, и сразу станет ясным, что разность кратна девяти:
9(111x+11y+z).
— До сих пор все верно, — кивнул Нулик, — но ведь дальше эту разность надо ещё умножить на любое число!
— Ну и что ж? — удивился Олег. — Если число делится на 9, то на сколько его ни умножай, произведение останется кратным девяти.
— Допустим, — упорствовал президент. — Но ведь после того как одна цифра была вычеркнута, остальные переставлялись в ЛЮБОМ порядке.
— И это не имеет значения, — успокоил его Олег. — Ведь для того чтобы число делилось на 9, надо, чтобы сумма его цифр тоже делилась на 9. Ну, а от перемены мест слагаемых сумма, как тебе известно, не меняется.
Нулик только руками развёл.
— Итак, — подытожил Сева (можно подумать, что он сам все доказал), — чтобы угадать зачёркнутую цифру, надо прочитанное вами число разделить на 9, а остаток дополнить до девятки. Это и будет искомая цифра.
Самая юная активистка — крохотная девочка в больших очках — попросила проверить правило на задуманном ею числе. Отгадывать зачёркнутое число вызвался Нулик. Девочка назвала число, получившееся у неё после заданных вычислений: 5871.
— Зачёркнутая цифра — 6, — сказал президент, подумав.
— Правильно, — подтвердила кроха. — Но разъясните ход ваших рассуждений.
— С удовольствием! — Нулик даже ножкой шаркнул. — Сложим цифры 5+8+7+1, получим 21. Разделим на 9, получим 2 и в остатке 3. Ну, а для того чтобы тройка стала девяткой, к ней надо прибавить шесть.
Все шумно захлопали. Президент раскланялся и предложил провести ещё один эксперимент. Успех явно вскружил ему голову.

— Пожалуйста, — как всегда, невозмутимо согласился Олег. — Результат моих вычислений: 603.
Нулик взмахнул рукой, как фокусник.
Итак, приступаю к отгадыванию. 6+0+3=9. Делю 9 на 9 — получается единица… А где же остаток? — Нулик озабоченно потёр переносицу. — Остатка нет! Постой-постой, какую цифру ты вычеркнул? Или ты ничего не вычёркивал?
— Нет, вычеркнул. Девятку! А мог бы вычеркнуть и нуль. А число при этом все равно делилось бы на 9 без остатка. Так что угадать зачёркнутую цифру в данном случае точно невозможно.
Президент чуть не заплакал:
— В чём же дело?
— Просто Магистр (а может быть, и сам барон Мюнхгаузен) забыл предупредить, что вычёркивать можно любую цифру, кроме нуля или девятки — по выбору.
— В общем, с первым вопросом все, — заключил Сева. — Переходим к следующему…
— Не торопись, — перебил я. — Есть ещё один, притом более простой способ отгадать зачёркнутую цифру. Но для этого надо уметь вычислять однозначную сумму цифр.
Все снова загалдели и потребовали разъяснения: что ещё за однозначная сумма цифр?
— Всем известно, — сказал я, — что однозначным числом называется число, состоящее из одной цифры, двузначное число состоит из двух цифр и так далее. Так вот, цифры числа надо складывать до тех пор, пока сумма не окажется однозначным числом. Для примера возьмём число 187254683. Сумма его цифр: 1+8+7+2+5+4+6+8+3=44. Теперь найдём сумму цифр числа 44. Это 8. Вот вам и однозначная сумма цифр заданного числа. Так вот, если в прочитанном вам числе вычислить однозначную сумму его цифр и дополнить её до девятки, то это дополнение и будет искомой, то есть зачёркнутой цифрой.
Нулик, по своему обыкновению, стал проверять моё правило на примере и выбрал число, названное девочкой в очках: 5871. Однозначную сумму цифр он нашёл правильно: 5+8+7+1=21, далее 2+1=3, дополнение до девяти равно 6. Ура!
Ребята снова загалдели. Сева приложил палец к губам:
— Эй, вы, потише! А не то сюда весь дом сбежится…
Когда все немного успокоились, Олег предложил для вычисления однозначной суммы цифр ещё более короткий способ, чем мой. Он просто-напросто вычёркивал в числе цифры, которые в сумме давали 9. Для этого он воспользовался моим же примером: 187 254 683. Сначала он вычеркнул 1 и 8, затем 7 и 2, далее 5 и 4, наконец, 6 и 3. Осталась одна цифра — 8!
И снова шум, гам, крики «ура!»…
— Но самое замечательное, — сказал я, когда активисты наконец усовестились, — что с помощью однозначной суммы цифр можно проверять правильность, а лучше сказать — неправильность некоторых вычислений. Вот, например, сложим числа 138 и 244. Сумма их равна 382. Допустим, мы ошиблись и получили в сумме 381. Произведём проверку. Однозначная сумма цифр числа 138 равна 3, а числа 244 — 1. Сумма этих сумм: 1+3=4. Но так как однозначная сумма цифр числа 381 равна 3, значит, сразу видно, что допущена ошибка. А вот однозначная сумма цифр числа 382 как раз и есть 4. Точно так же можно проверить правильность ответа при умножении и при возведении в степень.
Нулик потребовал немедленных доказательств, но из-за позднего времени мы их отложили и перешли ко второму вопросу.
К счастью, на него ушло гораздо меньше времени, несмотря на то что активисты галдели по-прежнему.
Улучив удобный момент, Сева изловчился и довёл до сведения малопочтенного собрания, как летели утки после выстрела барона Мюнхгаузена.

— Вначале, как вы помните, они летели вереницей, по порядку номеров: 1, 2, 3, 4, 5 и так далее. Но, услышав выстрел, мигом перестроились и образовали в воздухе острый угол. При этом ясно, что одну сторону угла составляли утки с чётными номерами — 2, 4, 6, 8… а другую сторону — с нечётными: 1, 3, 5, 7, 9… И конечно же, на бечёвке оказались утки нечётные. Потому что, когда барон складывал номера этих уток подряд, у него вслед за единицей оказалось число 4 (1+3=4), далее 1+3+5=9, затем 1+3+5+7=16… Таким образом, в сумме у него всё время получались квадраты количества отсчитываемых уток: 1=12, 4=22, 9=32, 16=42 и так далее.
— До-ка-за-тель-ства! До-ка-за-тель-ства! — скандировали активисты.
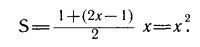
— Обратите внимание, — успокоил их Олег, — любое нечётное число можно получить, умножив его порядковый номер на два и вычтя затем единицу. Например, 7 — четвёртое по порядку нечётное число. Умножим 4 на 2 и вычтем 1 — получим: 4*2–1=7. Обобщая это правило, можно сказать, что всякое «иксовое» нечётное число равно (2x-1). А теперь сложим икс последовательных нечётных чисел, начиная с единицы. По правилу арифметической прогрессии надо сложить первый и последний члены, умножить сумму на число всех членов и разделить на два. Итак, обозначив сумму икс членов латинской буквой S, найдём, что
— Что и требовалось доказать, — закончил Олег под дружный вздох удовлетворения.