А ну-ка, догадайся!, стр. 19

М-р Рэнди. Дорогой мой Омар, разрежьте мой ковер на 4 части и сшейте их так, чтобы получился ковер размером 8х21 дм2.
Омар. Должен огорчить вас, мистер Рэнди. Вы непревзойденный фокусник, но — с арифметикой у вас явно не в порядке: 13х13 = 169, 8х21 = 168. Из вашей затеи ничего не получится.

М-р Рэнди. Мой дорогой Омар! Великий Рэнди никогда не ошибается. Вот вам выкройка. Разрежьте ковер по ней.

Когда Омар разрезал ковер по выкройке, Рэнди расположил куски ковра по-другому, и Омар, искусно сшив их, получил новый ковер размером 8х21 дм2.
Омар. Не верю своим глазам! Площадь ковра сократилась со 169 до 168 дм2! Куда делся недостающий квадратный дециметр?
Этот классический парадокс настолько поразителен и труднообъясним, что вы не пожалеете, если перечертите выкройку мистера Рэнди на бумаге в клеточку и, разрезав ее на части, составите из них прямоугольник. Если части прямоугольника не очень велики и вырезаны и вычерчены с обычной, не слишком высокой точностью, то вы вряд ли заметите, что вдоль главной диагонали прямоугольника эти части слегка перекрывают одна другую. Именно тем, что части не прилегают друг к другу, а находят друг на друга вдоль главной диагонали, и объясняется таинственное исчезновение 1 дм2. Если ссылка на перекрытие частей покажется вам недостаточно убедительной, вы легко сможете проверить ее правильность, сравнив угол наклона диагонали прямоугольника и угол наклона соответствующих участков периметра четырех частей.
А что, если начертить на листе в клеточку прямоугольник и, разрезав его на части, составить из них квадрат? Это тоже интересная задача, и, возможно, вам захочется решить ее.
Длины отрезков, фигурирующих в этом парадоксе, равны 5, 8, 13 и 21 дм. Возможно, вы вспомните, что уже встречали эти числа как члены знаменитой последовательности. А может быть, вы вспомните и рекуррентное соотношение, которому удовлетворяют ее члены? Они называются числами Фибоначчи. Каждое из них равно сумме двух предыдущих: 1, 1, 2, 3, 5, 8, 13, 21, 34…
Другие варианты того же парадокса основаны на использовании других четверок последовательных чисел Фибоначчи. Но о каком бы из вариантов ни шла речь, площадь прямоугольника неизменно отличается от площади квадрата: в одних случаях на 1 больше, в других — на 1 меньше. Далее вы обнаружите, что когда площадь прямоугольника на 1 меньше, то вдоль его главной диагонали части перекрываются, образуя едва заметный ромб площадью как раз в недостающую единицу, а когда площадь прямоугольника на 1 больше, то вдоль главной диагонали части не примыкают друг к другу вплотную, оставляя зазор в форме ромба площадью в лишнюю единицу.
Можно ли, зная, какие именно четыре последовательных числа Фибоначчи положены в основу варианта, предсказать, будет ли площадь прямоугольника больше или меньше площади квадрата? Оказывается, можно. Парадокс наглядно демонстрирует одно из фундаментальных свойств чисел Фибоначчи: квадрат любого числа Фибоначчи равен произведению двух соседних (предшествующего и последующего) чисел плюс или минус 1, то есть
F2n = Fn-1Fn+1 ± 1
Левая часть этого равенства задает площадь квадрата со стороной Fn, а правая — уменьшенную или увеличенную на 1 площадь прямоугольника со сторонами Fn-1 и Fn+1. Знаки «плюс» и «минус» чередуются при переходе от одного числа Фибоначчи к следующему. Квадраты чисел Фибоначчи с нечетными номерами (например, 2, 5, 13) на 1 больше произведения двух соседних чисел с четными номерами. Квадраты чисел Фибоначчи с четными номерами (например, 3, 8, 21) на 1 меньше произведения двух соседних чисел с нечетными номерами. Зная, это, вы легко можете предсказать, будет ли прямоугольник, составленный из частей квадрата, больше или меньше квадрата.
Последовательность «настоящих» чисел Фибоначчи начинается с двух единиц, но последовательность «обобщенных» чисел Фибоначчи может начинаться с любых двух чисел. Вы можете рассмотреть варианты парадокса, основанные на обобщенных числах Фибоначчи. Например, последовательность 2, 4, 6, 10, 16, 26… порождает прямоугольники, площадь которых отличается то в одну, то в другую сторону от площади квадрата на 4. Последовательность 3, 4, 7, 11, 18… порождает прямоугольники, площадь которых отличается то в одну, то в другую сторону рт площади квадрата на 5.
Пусть a, b и с — любые три последовательных обобщенных числа Фибоначчи, а х — разность площадей прямоугольника и квадрата (избыток или недостаток). Тогда справедливы две формулы:
а + b = c
Ь2 = ас ± х.
Подставив вместо х любой избыток или недостаток площади, а вместо Ь — любую длину стороны квадрата и решив систему двух выписанных выше уравнений, мы найдем соответствующие значения а и с (хотя они не обязательно получатся рациональными).
А нельзя ли разрезать квадрат на четыре части так, чтобы из них можно было составить прямоугольник, площадь которого была бы равна площади квадрата?
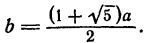
Чтобы ответить на этот вопрос, положим во втором из уравнений нашей системы х = 0 и выразим b через с. Единственное положительное решений (отрицательное мы отбрасываем, так как Ь — длина отрезка) имеет вид
Величина (1 + 5½)/2 — знаменитое золотое сечение, или φ. Это иррациональное число, равное 1,618033… Иначе говоря, числа φ
1, φ, φ2, φ3, φ4…
образуют единственную последовательность Фибоначчи, обладающую тем свойством, что квадрат любого ее члена (начиная со второго) равен произведению двух соседних членов.
После некоторых преобразований можно показать, что последовательность Фибоначчи эквивалентна последовательности
1, φ, φ + 1, 2φ+1, Зф + 2… (*)
и ее члены обладают отличительным признаком чисел Фибоначчи: каждый из них (начиная с третьего) равен сумме двух предыдущих.
Только разрезая квадрат на части, длины которых совпадают с четверками последовательных чисел Фибоначчи из (*), мы получим вариант парадокса с равновеликими прямоугольником и квадратом. Более подробно о золотом сечении и о его связи с парадоксом о разрезании квадрата и превращении его в прямоугольник см. в главе 23 («Число φ — золотое сечение») моей книги «Математические головоломки и развлечения». [9]

Через несколько месяцев мистер Рэнди снова пришел к Омару. На этот раз он принес с собой ковер размером 12х12 дм2.
М-р Рэнди. Мой дорогой Омар!
Случилась беда: электрообогреватель опрокинулся на ковер и прожег в нем дырку. Разрезав ковер на части и сшив их по-другому, вы сможете легко скрыть этот изъян.

Оставив сомнения, Омар последовал инструкциям мистера Рэнди.