Пуговицы Наполеона. Семнадцать молекул, которые изменили мир, стр. 15
Первым искусственным заменителем сахара был сахарин. Это мелкий порошок, настолько сладкий, что даже очень малая доза вызывает реакцию организма: если при работе с этим веществом поднести руку к губам, немедленно ощущается сладкий вкус. Наверное, именно это произошло в 1879 году в Университете Джонса Хопкинса в Балтиморе. Студент-химик [7] почувствовал необычно сладкий вкус хлеба, который ел. Он вернулся к рабочему столу и, принявшись систематически пробовать все вещества, с которыми в тот день работал (рискованная, но достаточно распространенная в те времена практика), обнаружил вещество, имеющее сильно выраженный сладкий вкус.
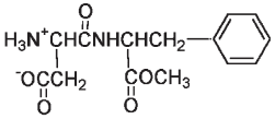
Сахарин не обладает калорийностью, и это сочетание сладости с отсутствием калорийности быстро обеспечило ему коммерческий успех (сахарин стали применять уже в 1885 году). Сначала его планировали использовать в качестве заменителя сахара для диабетиков, но он быстро приобрел популярность у всего населения. Однако беспокойство по поводу возможной токсичности этого вещества, а также его металлическое послевкусие стимулировали создание других искусственных заменителей сахара, таких как цикламат и аспартам. Как видно из рисунка, структура этих трех веществ различна и сильно отличается от структуры сахаров, однако все они обладают необходимым набором атомов в специфических позициях и необходимой гибкостью, чтобы вызывать у человека ощущение сладкого вкуса.

Сахарин

Цикламат натрия

Аспартам
Ни один искусственный заменитель сахара не является идеальным. Некоторые из них разлагаются при нагревании и поэтому могут употребляться только с холодными напитками или пищей. Другие недостаточно хорошо растворяются в воде. Третьи обладают неприятным привкусом. Синтетическое вещество аспартам состоит из двух природных аминокислот. Аспартам расщепляется в организме, но поскольку он в двести раз слаще глюкозы, для получения сладкого вкуса его нужно значительно меньше. Людям с таким наследственным заболеванием, как фенилкетонурия (неспособность расщеплять аминокислоту фенилаланин, образующуюся при распаде аспартама), не рекомендовано употреблять этот заменитель сахара.
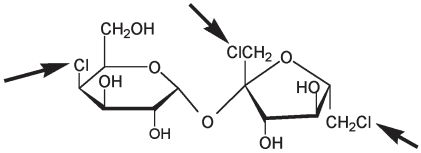
В создании нового заменителя сахара, одобренного в 1998 году Управлением США по надзору за качеством пищевых продуктов и лекарственных средств, был применен другой подход. Это вещество – сукралоза – отличается от сахарозы всего по двум параметрам. Звено глюкозы (слева на рисунке) заменено галактозой – тем же сахаром, который входит в состав молочного сахара. Кроме того, три OH-группы заменены на три атома хлора (Cl): один в галактозном звене и два других во фруктозном звене (справа на рисунке). Три атома хлора не влияют на сладость этой молекулы, но они не позволяют организму ее расщеплять. Поэтому сукралоза не обладает калорийностью.

Структура сукралозы. Стрелками показаны атомы хлора, введенные в молекулу вместо OH-групп.
Сейчас исследователи занимаются поиском несахарных подсластителей из растительных источников; сладость таких веществ может в тысячу раз превышать сладость сахарозы. Давно известно о сладком вкусе некоторых растений. В качестве примера можно назвать южноамериканскую траву Steviarebaudiana, корень лакричного растения Glycyrrhiza glabra, мексиканский представитель семейства вербеновых Lippia dulcis, а также корневища папоротника Selliguea feei с запада Явы. Сладкие вещества из природных источников могут найти промышленное применение, однако предстоит решить проблему их низкого содержания в природном источнике, токсичности, плохой растворимости в воде, неприятного привкуса, нестабильности и непостоянства качества этих веществ.
Сахарин, использовавшийся дольше века, был, однако, не первым заменителем сахара. Первым должен считаться ацетат свинца Pb (C2H3O2)2, которым древние римляне подслащивали вино. Это вещество, известное как свинцовый сахар, способно придать вину сладость, не вызывая дальнейшей ферментации, которая неизбежна при добавлении меда. Многие соли свинца имеют сладкий вкус, многие из них нерастворимы и абсолютно все ядовиты. Ацетат свинца растворяется очень хорошо, а о его токсичности римляне ничего не знали. Это наводит нас размышления о “старых добрых временах”, когда еда и напитки якобы не содержали вредных добавок.
Кроме того, римляне хранили вино и другие жидкости в свинцовых контейнерах, а вода в дома поступала по свинцовым трубам. Отравление свинцом носит кумулятивный характер. Свинец воздействует на нервную систему, репродуктивные и другие органы. Первые симптомы отравления свинцом довольно неспецифические: нарушение сна, потеря аппетита, раздражительность, головные боли, анемия и боли в желудке. Позднее происходит нарушение мозговой деятельности, приводящее к параличу. Некоторые историки связывают упадок Рима с отравлением свинцом: многие римские правители, включая Нерона, страдали от подобных симптомов. Однако только состоятельная аристократическая публика могла позволить себе иметь дома водопровод и хранить вино в свинцовых контейнерах. Простые люди вынуждены были ходить за водой, а вино хранили в других емкостях. Но если свинец действительно был одной из причин упадка Римской империи, возможно, его также можно отнести к химическим веществам, изменившим ход истории.
Сахар и пристрастие к сладкому во многом определили историю человечества. Не будь сахара, работорговля не приобрела бы такой гигантский масштаб, а без невольников не было бы развитой торговли сахаром. Достояние Западной Африки – ее люди – было принесено в жертву чужому благосостоянию.
Стремление к сладкой жизни влияло на судьбы и после уничтожения рабовладения. Так, в конце XIX века множество индийцев приехало на Фиджи, чтобы наняться на плантации сахарного тростника. В результате этнический состав населения этих островов Тихого океана изменился настолько, что исконные жители этих мест – меланезийцы – стали составлять меньшинство. После трех государственных переворотов, произошедших в последние годы, политическая и этническая ситуация на Фиджи по-прежнему нестабильна. Этнический состав населения других тропических островов также связан с производством сахара. Предки людей, составляющих сейчас основное население Гавайских островов, перебрались сюда из Японии, чтобы выращивать сахарный тростник.
И в наши дни сахар продолжает оказывать влияние на развитие общества. Сахар – важный пищевой продукт. Капризы погоды и заражение вредителями влияют на экономику стран-производителей сахара и на мировой рынок. Повышение стоимости сахара сказывается на всей пищевой промышленности. Сахар влияет и на политику. Например, продажа сахара в СССР много десятилетий позволяла режиму Фиделя Кастро держаться на плаву.
Сахар содержится во многих продуктах и напитках. Наши дети любят сладкое. Мы угощаем сладким друзей (а не преломляем с ними простой хлеб, как было принято когда-то). Сладкое стало неотъемлемым элементом праздника во всем мире. Современный уровень потребления глюкозы и ее изомеров во много раз превысил соответствующий уровень потребления во времена наших предков, что является одной из причин распространения ожирения, диабета и кариеса. В общем, наша жизнь по-прежнему зависит от сахара.
Глава 4
Целлюлоза
Укоренение рабства в Америке было связано с выращиванием сахарного тростника, однако его существование на протяжении трех с лишним столетий поддерживала не только торговля сахаром. Свой вклад внесло производство и других товаров для европейского рынка, например хлопка. В Англии из импортного хлопка-сырца изготавливали дешевый текстиль, который в Африке можно было обменять на рабов – и отправить их на плантации Нового Света, особенно на юг Соединенных Штатов. Прибыль от продажи сахара составила начальный капитал для развития британской промышленности. Хлопок же способствовал расцвету экономики Британии в конце XVIII и начале XIX века.