Приключения великих уравнений, стр. 41
В математике для обозначения ситуации с источниками поля можно применить операцию «дивергенция» (Максвелл использовал слово «конвергенция»).
Дивергенция — мера источника. Например, свеча — источник света — обладает положительной дивергенцией, ночной мрак за окном, где свет рассеивается, поглощается, обладает дивергенцией отрицательной. Что касается оконного стекла, где число «лучей», пришедших из комнаты, равно числу лучей, ушедших в темноту, то там дивергенция равна нулю. В стекле свет не создается, не поглощается (если оно, разумеется, достаточно прозрачное).
Поэтому Максвелл добавляет к двум имеющимся уравнениям еще два:

Физический смысл уравнений прозрачен.
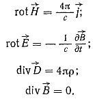
Силовые линии электрического поля кончаются на зарядах, плотность которых р.
Силовые линии магнитного поля не кончаются нигде — они замкнуты сами на себя.
Вот какая система уравнений появилась в результате работ Максвелла:

Входящие в эти уравнения векторы электрической и магнитной индукции ( D ->и В ->) и векторы напряжснностей электрического и магнитного полей ( Е ->и H ->) связаны стыми соотношениями: D ->= ?Е ->и В -> = ?Н ->,
где ?— магнитная проницаемость среды,
? — диэлектрическая постоянная среды.
Четыре строчки этих простых уравнений и составляют «уравнения Максвелла», а система взглядов, которая легла в основу уравнений, получила название «максвелловой теории электромагнитного поля».
Уравнения были просты, но чем больше Максвелл и его последователи над ними работали, тем больший внутренний смысл находили в четырех строчках. Генрих 160 Герц, знаменитый немецкий физик, роль которого в истории— доказать полную справедливость представлений Максвелла, писал о неисчерпаемости теории Максвелла:
«Нельзя изучать эту удивительную теорию, не испытывая по временам такого чувства, будто математические формулы живут собственной жизнью, обладают собственным разумом — кажется, что эти формулы умнее нас, умнее даже самого автора, как будто они дают нам больше, чем в свое время было в них заложено».
Теория Максвелла — триумф идей Фарадея. Максвелл, по выражению Роберта Милликена, «облек плебейски обнаженные представления Фарадея в аристократические одежды математики». А советский физик Т. П. Кравец по этому поводу заметил:
«Если мы теперь освоились с системой воззрений Фарадея, если его электромагнитное поле стало одним из наших основных знаний, если его система превратилась в стройную теорию и получила адекватное математическое выражение, то это заслуга Максвелла и только Максвелла».
Замечание Генриха Герца о «самостоятельной жизни» уравнений Максвелла, о том, что они «умнее самого автора», стало подтверждаться сразу же после того, как Максвелл начал изучать свою систему, опробовать ее при решении различных задач.
Прежде всего нужно было выяснить, что за постоянная «втерлась» в уравнения. Происхождение других постоянных, входящих в систему уравнений, — «четверка», «минус единица», число «пи», было ясно, но…? Что это такое? Применив уравнения к одному конкретному случаю, Максвелл нашел, что неизвестное число с оказалось примерно равно отношению электромагнитной и электростатической единиц заряда — примерно 300 000 километров в секунду!
Совпадение было слишком разительным, чтобы не принять его во внимание. Таинственное с было равно скорости света? Но при чем тут скорость света? Максвелл настолько глубоко верил в свои уравнения, что наличие физически не очевидного коэффициента его беспокоило.
Он непрерывно думал о странном явлении. И уравнения «думали». Рассмотрим первые два из них.
Согласно первому любой ток вызовет возникновение магнитного поля в окружающих областях пространства.
Постоянный ток, например, вызовет возникновение вокруг него постоянного магнитного поля. Такое поле, однако, не сможет вызвать электрического поля в «следующих» областях, поскольку электрическое поле согласно второму уравнению возникает лишь при изменяющемся магнитном поле.
Но картина иная, если первоначальный ток — переменный. Вокруг переменного тока создается переменное магнитное поле, способное уже создать в «следующем» элементе пространства электрическое поле; то, в свою очередь, за счет «тока смещения» создает новое магнитное поле, а оно точно так же создаст еще дальше поле электрическое. И так будет продолжаться до бесконечности.
Другими словами, электромагнитное поле, как с поразительной ясностью понял Максвелл, распространяется в виде волны, причем волны незатухающей — энергия магнитного поля в пустоте полностью переходит в энергию поля электрического, и наоборот.
Но ведь в виде точно таких «поперечных» волн распространяется и свет! И Максвелл делает сразу два далеко идущих вывода.
Электромагнитное поле распространяется в пространстве в виде поперечных волн. Убежденный в универсальности своих уравнений, Максвелл показывает, что «свет есть электромагнитное возмущение». Родство двух явлений предчувствовал еще Ломоносов, предлагавший осуществить соответствующий опыт, а Фарадей прямо доказал единую природу явлений, осуществив эксперименты по «электромагнитному вращению света». Точно так же, как существуют излучения световые, должны существовать и «излучения электромагнитные».
Электромагнитные волны распространяются в пространстве со скоростью света, то есть со скоростью 300 000 километров в секунду. Скорость распространения воли зависит от свойств среды.
Признание конечной, хотя и очень большой, скорости распространения электричества и магнетизма камня на камне не оставляло от теорий сторонников «мгновенного дальнодействия».
* * *
Велика все-таки роль случайности в научных открытиях! Впоследствии оказалось, что величина с, полученная Максвеллом, и скорость света, полученная Физо, были измерены не совсем точно. Их совпадение, столь поразившее Максвелла, было в известной мере случайным!
* * *
В предсказании электромагнитных волн Максвелл значительно обогнал свое время. Но он не мог знать, что Фарадей еще в 1832 году оставил в Королевском обществе для хранения в архивах запечатанный конверт с надписью «Новые воззрения, подлежащие в настоящее время хранению в архивах Королевского общества».
В 1938 году, через 106 лет, конверт этот был вскрыт в присутствии многих английских ученых. Слова, которые записаны были на пожелтевшем листке, запечатанном в конверте, потрясли всех: выяснилось, что уже Фарадей ясно представлял себе, что индуктивные явления распространяются в пространстве с некоторой скоростью, причем в виде волн.
«Я пришел к заключению, что на распространение магнитного воздействия требуется время, которое, очевидно, окажется весьма незначительным. Я полагаю также, что электрическая индукция распространяется точно таким же образом. Я полагаю, что распространение магнитных сил от магнитного полюса похоже на колебания взволнованной водной поверхности… По аналогии я считаю возможным применить теорию колебаний к распространению электрической индукции», — писал он на основании далеко идущих аналогий между электромагнитной индукцией, светом и звуком. Фарадей, как следует из этого документа, хотел закрепить открытие за собой определенной датой и таким образом иметь право, в случае экспериментального подтверждения, объявить эту дату датой его открытия. «В настоящее время, — продолжал он, — насколько мне известно, никто из ученых, кроме меня, не имеет подобных взглядов».
И Фарадей, и Максвелл не дожили до полного торжества их воззрений. Оба они умерли до того, как русские ученые Н. Н. Шиллер, П. А. Зилов, С. Я. Терешин, П. Н. Лебедев и немецкие физики Г. Герц и Л. Больцман показали полную справедливость теории электромагнитного поля Максвелла и Фарадея.