Ткань космоса. Пространство, время и текстура реальности, стр. 167
190
Подготовленный читатель заметит, что сохранение энергии в теории с динамическим пространством-временем является очень тонким вопросом. Конечно, тензор напряжений от всех источников для уравнений Эйнштейна ковариантно сохраняется. Но отсюда не обязательно следует глобальный закон сохранения энергии. И на то есть причина. Тензор напряжений не учитывает гравитационной энергии — это общеизвестная трудность общей теории относительности. На достаточно коротких расстояниях и за достаточно короткий промежуток времени (таких как в экспериментах с ускорителями) энергия сохраняется локально, но утверждения относительно глобального сохранения должны делаться с большей осторожностью.
191
Это верно для простейших инфляционных моделей. Исследователи обнаружили, что в более сложных реализациях инфляции рождение гравитационных волн может подавляться.
192
Перспективным кандидатом на роль тёмной материи должна быть стабильная или очень долго живущая частица, которая не распадается на другие частицы. Ожидается, что это верно для легчайших из суперсимметричных партнёров частиц, а потому корректнее будет сказать, что легчайшие зино, хиггсино и фотино являются подходящими кандидатами на роль тёмной материи.
193
Не так давно исследовательская группа, работающая над совместным итальяно-китайским проектом под названием DAMA (Dark Matter Experiment — эксперимент по обнаружению тёмной материи) в Лаборатории Гран Cacco в Италии, сделала захватывающее дух сообщение, что ими впервые обнаружена тёмная материя. Однако до сих пор ни одна другая группа не смогла проверить их утверждение. На самом деле, в рамках другого проекта под названием CDMS (Cryogenic Dark Matter Search — криогенный поиск тёмной материи), осуществляющегося в Стэнфорде с участием американских и российских учёных, уже накоплены данные, которые, как полагают многие, опровергнут результаты DAMA с высокой степенью достоверности. Помимо этих, запущено или готовится и множество других проектов, направленных на поиск тёмной материи. О некоторых из них можно прочесть на http://hepwww.rl.ac.uk/ukdmc/dark_matter/other_searches.html.
194
В этом утверждении игнорируются подходы со скрытыми переменными, такие как подход Бома. Но даже в рамках таких подходов нам потребуется телепортировать квантовое состояние объекта (его волновую функцию), для чего недостаточно измерения ряда параметров объекта, таких как его положение и скорость.
195
В исследовательскую группу Цайлингера также входили Дик Баумистер, Джан-Ви Пан, Клаус Маттле, Манфред Эйбл и Харалд Вайнфуртер, а в группу Де Мартини — С. Джиакомини, Г. Милани, Ф. Сциаррино и Е. Ломбарди.
196
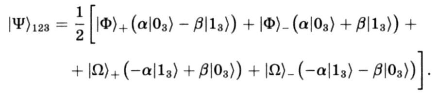
Приведём выкладки для читателя, знакомого с формализмом квантовой механики. Пусть начальное состояние моего фотона в Нью-Йорке описывается функцией

где



Таким образом, начальное состояние трёхфотонной системы описывается функцией

Проведя совместное измерение Белла подсистемы фотонов 1 и 2, я перевожу эту подсистему в одно из четырёх состояний:

Теперь перепишем начальное состояние трёхфотонной системы в терминах собственных состояний подсистемы фотонов 1 и 2:

Таким образом, выполнив измерение, я переведу систему в одно из этих четырёх состояний. После того как я сообщу Николасу (обычными средствами), какое состояние я обнаружил, он будет знать, что сделать с фотоном 3, чтобы воспроизвести начальное состояние фотона 1. Например, если я обнаружу состояние

197
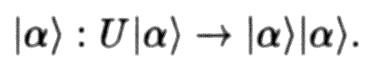
В действительности, математически подготовленный читатель заметит, что нетрудно доказать так называемую теорему о невозможности клонирования квантовых состояний. Предположим, что у нас есть унитарный оператор клонирования U, «удваивающий» любое квантовое состояние системы

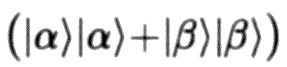
Тогда результатом применения Uк



198
Как в разработке теории, так и в экспериментальной реализации квантовой телепортации приняли участие многие исследователи. Назовём ещё некоторых: исследования Санду Попеску, работавшего в то время в Кембриджском университете, сыграли важную роль в экспериментах, проведённых в Риме, а группа Джеффри Кимбла из Калифорнийского технологического института впервые осуществила телепортацию непрерывных характеристик квантового состояния.
199
О чрезвычайно интересных достижениях в области запутывания многочастичных систем рассказано, например, в статье: Julsgaard В., Kozhekin A., and Polzik Е. S. Experimental long-lived entanglement of two macroscopic objects. Nature.2001. Sept. № 413. P. 400–403.
200
Одной из наиболее захватывающих и развивающихся областей науки, использующей запутывание квантовых состояний и квантовую телепортацию, являются квантовые вычисления. Квантовые вычисления на популярном уровне хорошо изложены в недавних книгах: Siegfried Т. The Bit and the Pendulum.New York: John Wiley, 2000; Johnson G. A Shortcut Through Time.New York: Knopf, 2003.
201
Одним из следствий эффектов замедления времени с увеличением скорости, который мы не обсуждали в главе 3, но который будет играть свою роль в данной главе, является так называемый парадокс близнецов. Дело вот в чём: если я и вы двигаемся друг относительно друга с постоянной скоростью, я буду думать, что я не двигаюсь и, следовательно, ваши часы идут медленнее моих. Но вы с тем же правом можете заявить, что это вы неподвижны, а двигаюсь я, и, значит, мои часы идут медленнее ваших. Может показаться парадоксальным, что каждый из нас думает, что часы другого идут медленнее, но этот парадокс легко разрешим. При относительном движении с постоянной скоростью наши часы будут всё удаляться друг от друга и, следовательно, у нас не будет никакой возможности для непосредственного сравнения показаний часов, чтобы определить, какие из них «на самом деле» идут медленнее. А все прочие косвенные сравнения показаний часов (например, с помощью сотовой связи) требуют некоторого времени и происходят на некотором пространственном отдалении, что непременно вводит в игру усложнения, связанные с различным представлением разных наблюдателей о том, что происходит «сейчас», о чём мы говорили в главах 3 и 5. Я не хочу вдаваться здесь во все подробности, но если учесть все релятивистские поправки, то не будет противоречия в том, что каждый из нас заявляет, что часы другого идут медленнее (полное, технически точное, но достаточно элементарное обсуждение этого парадокса приводится, например, в книге: Тейлор Э. Ф., Уилер Дж. А.Физика пространства-времени. М.: Мир, 1971). Ситуация становится более загадочной, если, к примеру, вы замедляетесь, останавливаетесь, поворачиваетесь и возвращаетесь ко мне, так что мы сможем напрямую сравнить показания наших часов, устраняя усложнения, связанные с различными представлениями о «сейчас». Когда мы встретимся, чьи часы будут показывать меньшее время? Это так называемый парадокс близнецов: если мы с вами близнецы, то кто из нас при встрече будет выглядеть старше или же мы будем выглядеть одинаково? Ответ такой: мои часы будут показывать большее время и, следовательно, я буду выглядеть старше. Есть множество способов объяснить, почему это так, но проще всего заметить, что когда вы меняете скорость и испытываете ускорение, теряется симметрия между нами — вы можете определённо сказать, что это вы двигаетесь (поскольку, к примеру, вы это чувствуете— или, вспоминая обсуждение в главе 3, в отличие от меня, ваше путешествие по пространству-времени происходит не по прямой линии) и, значит, ваши часы идут медленнее моих. Для вас пройдёт меньше времени, чем для меня.