Журнал «Компьютерра» №46 от 15 декабря 2005 года, стр. 32
Итак, получается двойная, а не тройная система охлаждения. Сначала нагревается непосредственно фреон, минуя воздушную стадию (нагревом корпуса трубок можно пренебречь), и уже он отдает тепло окружающему воздуху, причем далеко за пределами серверной стойки.
Если мы избавились от воздушного охлаждения процессоров, то нет необходимости в большом количестве вентиляторов внутри каждого сервера. По утверждению разработчика, для охлаждения всех оставшихся схем, включая жесткий диск и блок питания, достаточно лишь одного вентилятора на корпус. Это радикально снижает шум, что позволяет размещать такие стойки внутри рабочих комнат, не вынося их в специальные помещения.
Представители компании Kraftway очень неохотно отвечали на вопрос о возможной стоимости подобной системы. Ссылаясь на то, что пока существует только прототип и многие решения еще не вышли на стадию массового производства, говорить о конкретных расчетах слишком трудно. Однако мне удалось в приватной беседе выяснить, что ориентировочная стоимость в расчете на один процессор не должна превышать пятидесяти долларов (не забывайте, что речь идет о многопроцессорных системах с количеством чипов около сотни). Это, согласитесь, уже близко к цене обычных медных радиаторов и, разумеется, гораздо меньше стоимости систем на жидком азоте.
Похоже, Россия становится не только «родиной слонов» и великих комбинаторов, но и местом рождения остроумных технических решений для современных высокопроизводительных вычислительных систем. Возможно, недалек тот день, когда первые строчки знаменитого Top 500 будут занимать компьютеры, построенные именно у нас.
ТЕХНОЛОГИИ: Сколько мегапикселов можно разместить
Автор: Юрий Ревич
И фотолюбители, и журналисты, пишущие о цифровой фотографии, как «Отче наш» затвердили, что количество мегапикселов в матрице не главная характеристика цифрового фотоаппарата. Но ни в одном из известных мне источников вы не найдете точного ответа на вопросы, которые возникают по этому поводу у неискушенного покупателя цифровой камеры.

Самый главный вопрос - почему? Интуитивно кажется, что чем больше мегапикселов, тем камера лучше, и маркетологи вовсю играют на этом заблуждении. В то же время их оппоненты из пишущей братии в лучшем случае что-то промямлят про низкую чувствительность и повышенный уровень шумов. «Чайник» покупает камеру, убеждается, что никаких шумов там нет, и лишний раз приходит к справедливому выводу, что верить печатному слову не следует. Это действительно так практически для любой из популярных моделей камер в ценовом диапазоне от $200 - исключая, разумеется, экстремальные условия съемки при низкой освещенности, когда никто ничего хорошего и не ждет. Но чем 8-мегапиксельная «мыльница» Nikon Coolpix P1 тогда хуже 6-мегапиксельного Nikon D70? Неужели, кроме зеркального видоискателя, сменной оптики и количества функций - то есть, грубо говоря, удобства и некоторых специальных возможностей, - ничем не хуже? За что тогда почти втрое большая цена - только за зеркало и возможность подключения продвинутой внешней вспышки?
Другой важный вопрос, который задает себе фотолюбитель, особенно если его в техническом вузе научили инженерному подходу к действительности: а сколько их надо, этих мегапикселов? И в каких случаях это действительно важно, а в каких нет? Недавно Роман Косячков показал мне карточку 10х15, отпечатанную на термосублимационном принтере. Отличного качества отпечаток, хоть в журнале помещай. Секрет состоял в том, что исходное изображение скачано из Интернета, и его размер был 700х466 точек - 0,3 мегапиксела! Даже если принять сей факт за лишнее подтверждение того, что нас всех обувают, как лохов, - но не в такой же степени?!
Далее мы попробуем в этом разобраться. И для начала подчеркнем, что физический размер матрицы и количество мегапикселов в ней - это параметры, которые имеют важное значение каждый сам по себе, вне прямой зависимости друг от друга.
Рассматривать влияние физических размеров матрицы на качество снимков мы все же начнем со взаимосвязи этого параметра с числом мегапикселов - то есть сначала разберемся с чувствительностью и шумами. Действительно, продвинутая «мыльница» Olympus Camedia C-770 имеет 4-мегапиксельную матрицу типоразмером 1/2,5”. Ее линейный размер - 5,76х4,29 мм (см. таблицу), и простейший подсчет показывает, что на один элемент приходится квадратик 2,5х2,5 мкм. Эти величины вполне сравнимы с длиной волны видимого света (0,7 мкм для красного), причем надо иметь в виду, что из расчетной площади на собственно сенсор приходится едва ли половина, остальное занимают электрические схемы. То есть в размеры одного сенсора укладывается всего-навсего пара световых волн!

Совсем другое дело в случае полноразмерной матрицы (36х24 мм). Даже для 16-мегапиксельной камеры (Canon Mark II) на каждый сенсор приходится 7,2х7,2 мкм, вдобавок площадь, занятая собственно сенсором, там существенно выше. Так почему я утверждаю, что в настоящее время фактор шумов не имеет особого значения? А потому, что прогресс не стоит на месте - маленькая матрица, выпущенная сегодня, на много порядков лучше, чем большая, но изготовленная в году этак 1999-м. И сами матрицы, и технологии подавления шумов стали совершеннее. Разумеется, при непосредственном сравнении C-770 проиграет Mark II, но так ли уж это важно для тех, кто покупает С-770? Учтем еще, что даже заметный шум скрадывается при печати на принтере. Наконец, прогресс в этой области в стенку совсем не уперся - пока нет особых причин, по которым новые поколения матриц не должны шуметь все меньше и меньше.
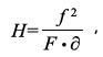
Еще одно обстоятельство, которое часто упоминают, рассуждая о недостатках небольших матриц, - чрезмерная глубина резкости. Фокусное расстояние «нормального» объектива примерно равно диагонали матрицы (или чуть превышает ее). Поэтому «нормальным» для того же С-770 будет объектив с фокусным расстоянием около 9 мм, что мы и наблюдаем - камера имеет 10-кратный зум и диапазон фокусных расстояний 6,3-63 мм (38-380 мм в 35-миллиметровом эквиваленте), то есть немного в сторону широкоугольности при минимальном зуме. Глубина резкоизображаемого пространства находится в квадратичной зависимости от фокусного расстояния. Не углубляясь в подробности, приведем только конечную формулу этой функции:

где H - гиперфокальное расстояние (расстояние до передней границы резкоизображаемого пространства при наводке на бесконечность), f - фокусное расстояние объектива, F - значение диафрагмы, а #948; - величина так называемого допустимого кружка рассеяния, которая для кадра 24х36 мм обычно принимается равной 0,05 мм. Матрица у нас много меньше пленочного кадра, поэтому примем #948; = 0,01 мм. Если подсчитать гиперфокальное расстояние, например, при фокусном расстоянии 7 мм и диафрагме 2,8, которая имеет место для рассматриваемого объектива, то получим 1,75 м. Таким образом, все, что дальше 1,75 м, будет отображаться резко без специальной наводки! На самом деле, как мы увидим дальше, нас устроит допущение относительно кружка рассеяния и в 0,05 мм, то есть фактически такой камерой можно снимать, вообще не наводя на резкость на коротком фокусе - зачем? Оттого-то и снимки выходят плоскими и невыразительными, объекты теряются на фоне, и хороший портрет или предметный снимок сделать такой камерой трудно.