Большой психологический словарь, стр. 301

СЕКСУАЛЬНЫЕ ПЕРВЕРСИИ — см. Половые извращения.

СЕКСУАЛЬНЫЙ ПАРЦИАЛИЗМ — см. Фетишизм.

СЕЛЕКЦИЯ ИНФОРМАЦИИ (англ. information selection) – отбор полезной информации из всей совокупности предъявленных сигналов. Механизм фильтрации задерживает несущественную информацию и отбирает необходимую для выполнения задачи. Экспериментальные факты свидетельствуют о возможности С. и. на различных уровнях ее обработки: на уровне сенсорного анализа (предвнимание по У. Найссеру), на уровне вербального кодирования, на уровне принятия решения и пр. Время сенсорного (предиконического) анализа составляет примерно 50 мс. За это время с помощью предвнимания осуществляется С. и. по физическим характеристикам (цвет, форма, яркость и пр.). Различают центральные и периферические механизмы С. и. (М. Эрдели, 1974). К периферическим механизмам С. и. относятся установочные движения глаз, подъем и опускание век, фиксации глаз, изменения диаметра зрачка, аккомодация глаз и др. процессы на рецепторном уровне. Центральные механизмы С. и. – кодирование, избирательное закрепление отобранной информации, распознавание и др. Процессы управления С. и. определяются задачами деятельности, установками, мотивацией субъекта. С. и. – эффективное средство преодоления информационной перегрузки. Однако при всей полезности С. и. она затрудняет познание тех факторов, которые действуют относительно стабильно. Нередко именно постоянные аспекты ситуации легче всего ускользают от внимания и труднее всего поддаются пониманию. (Т. П. Зинченко)

СЕМАНТИКА (от греч. semantikos – обозначающий). Различают несколько видов С.

1. Лингвистическая С. – раздел языкознания, изучающий лексические значения слов и выражений, изменения их значений (значение слова, оборота речи или грамматической формы). Син. семасиология.

2. Логическая С. – раздел математической логики, исследующий отношения между формально построенными исчислениями и отражаемым в них реальным содержанием; содержательная интерпретация этих исчислений. Различают дескриптивную и чисто логическую С. 1-я исследует отношение знака к содержанию понятия (сигнификату) и отношение знака к вещи, которую он обозначает (денотату); 2-я занимается построением искусственных систем семантических правил, устанавливающих условия истинности языка. Хотя логическая С. имеет дело с полностью формализованными языками, высказывались мнения о применимости ее основных понятий к анализу значений в естественных языках (Р. Карнап, А. Тарский).

3. Психолингвистика (см.) различает объективную и субъективную С. Первая является семантической системой значений языка; вторая представляется как ассоциативная система, существующая в мозге индивида. В связи с этим семантические признаки подразделяются на относящиеся к области ассоциаций (субъективные) и принадлежащие семантическим компонентам лексики, взятой в абстрактно-логическом (объективном) плане. Психолингвистическое понятие «семантическое поле» представляет собой совокупность слов вместе с их ассоциациями («ассоциантами»). Имеется несколько попыток экспериментально определить субъективные семантические поля и связи внутри них с помощью методов ассоциативного эксперимента (Дж. Диз) и условного рефлекса (А. Р. Лурия, О. С. Виноградова). См. также Метод семантического радикала, Психосемантика, Семиотика, Субъективное семантическое пространство.

СЕМАНТИЧЕСКАЯ АФАЗИЯ — см. Афазия.

СЕМАНТИЧЕСКАЯ ПАМЯТЬ (англ. semantic memory) – вид долговременной памяти, в которой хранятся общие (абстрактные) знания о мире, значения слов. Для описания С. п. используются модели семантических сетей. См. также Память автобиографическая.

СЕМАНТИЧЕСКИЕ СЕТИ (англ. semantic nets) – представляют собой модели хранения понятий (слов, высказываний) в семантической памяти. Их организация и структурирование основаны на содержательном описании понятий и слов, обозначающих эти понятия и составляющих содержание семантической памяти.

В простейшем случае узлы С. с. отображают отдельные понятия, связи между узлами – отношения между понятиями. При таком подходе каждое понятие (узел С. с.) обладает набором свойств (атрибутов). Функция части атрибутов заключается в установлении различных типов связей с др. узлами С. с. Кроме того, структура сети дает возможность приписывания каждой связи некоторых значений частоты (веса) ее использования.

Важное значение моделей С. с. заключается в том, что они представляют собой не только среду хранения информации, но и структуру, на основе которой строятся модели процессов мышления (см. Эвристика, Эвристическая педагогика). В ходе формально-логического моделирования процессов мышления выделяют ряд «фигур» логического мышления, определяющих некоторые механизмы проведения рассуждений, построения понятий, доказательств. К таким фигурам можно отнести: правила построения простых и сложных высказываний, процедуры индукции, дедукции, построение умозаключений, правила логического вывода.

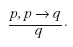
Рассмотрим пример, в котором мы имеем среди исходных данных набор фактов, включающих отдельные высказывания (простые или сложные): A, B, L, а также высказывания в виде импликаций (структур «если… то»): A > L, A > B, F > C, B > D, B > G, G > T, K > G, L > B, L > K. Для простоты будем считать, что единственным правилом вывода в этом примере будет правило отделения (modus ponens). Это правило было известно еще в древности и хорошо соответствует интуитивному понятию логического вывода. Общая схема правила отделения говорит, что мы делаем правильные умозаключения, если из пары посылок вида: 1) если p, то q, 2) p получаем в качестве заключения q. Формально правило отделения записывается в виде:

Большой психологический словарь - i_011.png

Многократно применяя правило отделения, мы можем получить новое знание, напр., в виде A > T. Действительно, из A и A > B получаем B, затем из B и B > G получаем G, затем из G и G > T получаем T. Формально в математической логике 3 шага данного вывода записываются как:

Большой психологический словарь - i_012.png

В такой записи над чертой записываются посылки, под чертой следствия. В итоге мы построили умозаключение A > T и одновременно получили цепочку рассуждения: A, A > B > G > T. Однако данная цепочка не единственно возможный путь получения результата A > T. Тот же вывод получим, построив и др. цепи доказательств. Например, цепь № 2: из A, A > L получаем L, затем из L, L > B получаем B, далее логический вывод идет так же, как в предыдущем случае. Цепь № 3 напишем в сокр. виде: A, A > L > K > G > T.

Данный пример удобно представить не только в аналитическом, но и в образном виде, как часть графа или С. с. (рис. 11). Такого рода представления служат целям структурирования информации. В каждом узле сети собирается вся информация по некоторому объекту (ситуации). Эта информация представляется в виде наборов атрибутов, а также в виде ссылок, указывающих связи между узлами.

В общем виде для представления системы данных об объекте или «единицы» знаний используется понятие фрейма. Структура фрейма м. б. разной для разных областей знаний и рассуждений, что отражает глубокие различия природы разных областей знаний.

Отдельный вопрос касается методов необходимых для того, чтобы установить, какие понятия действительно близки (далеки) в пространстве С. с. данного «ядра» знаний (фрейма). Сама задача требует построения метрики пространства семантической памяти. В основе математических методов (факторный анализ и многомерное шкалирование), используемых для этих целей, лежит формирование матриц сходств понятий. Эксперты на основании своих интуитивных правил оценивают попарное сходство между исходными объектами.