Большая Советская Энциклопедия (НА), стр. 152
Нозологическая принадлежность Н. з. устанавливается на основе всестороннего клинического (в том числе клинико-генеалогического) и лабораторного обследования. Большую диагностическую ценность имеют биохимические, электрофизиологические, цитоморфологические, иммунологические и др. лабораторные методы, часто позволяющие идентифицировать не только заболевание, но и гетерозиготное носительство мутантного гена. Иногда диагностику облегчает плейотропный эффект генов, т. е, множественность зависящих от них фенотипических проявлений. В частности, действие патологического гена может проявиться не только в заболевании, но и в ряде других, обычно индифферентных для организма признаков, по которым в сомнительных случаях и устанавливается присутствие гена-«виновника».
Благодаря прогрессу медицинской генетики и расширению представлений о характере наследования различных заболеваний и влиянии факторов внешней среды на проявляемость мутантных генов стали намного яснее пути лечения и профилактики Н. з. Основные принципы лечения: исключение или ограничение продуктов, превращения которых в организме в отсутствии необходимого фермента приводят к патологическому состоянию; заместитительная терапия дефицитным ферментом или нормальным конечным продуктом извращённой реакции; индукция дефицитных ферментов. Большое значение придаётся фактору своевременности терапии, которую следует начинать до развития у больных выраженных нарушений. Некоторые биохимические дефекты могут с возрастом частично компенсироваться. В перспективе большие надежды возлагаются на генную инженерию, под которой подразумевается направленное вмешательство в структуру и функционирование генетического аппарата — удаление или исправление мутантных генов, замена их нормальными.
Важнейшей задачей медицинской генетики остаётся профилактика Н. з., осуществляемая в основном через медико-генетические консультации .
Лит.: Давиденков С. Н., Наследственные болезни нервной системы, 2 изд., М., 1932; его же, Генетика медицинская, в кн.: Большая медицинская энциклопедия, 2 изд., т. 6, М., 1958; Справочник по клинической генетике, под ред. Л. О. Бадаляна, М., 1971; Schreier К., Die angeborenen Stoffwechselanomalien, Stuttg., 1963; Mc Kusick V. A., Mendelian inheritance in man, Bait., [1966]; The metabolic basis of inherited disease, ed. J. B. Stanbury [a. o.], N. Y. — [a. o.], 1972.
Л. О. Бадалян.

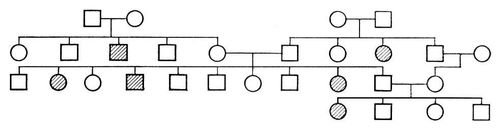
Рис. 3. Псевдодоминирование.

Рис. 4. Та же родословная, прослеженная ещё в одном поколении.

Рис. 2. Наследование по аутосомно-рецессивному типу.

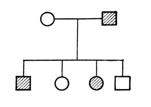
Рис. 1. Наследование по аутосомно-доминантному типу.

Рис. 5. Наследование по Х-хромосомному типу.
«Наследственных факторов» теория
«Насле'дственных фа'кторов» тео'рия, буржуазная теория в области криминологии , рассматривающая в качестве причин преступности наследуемые свойства организма человека, его анатомические особенности, особенности генетических хромосомных структур, наследуемые свойства нервной системы и др. «Н. ф.» т. возникла в 18—19 вв. как реакция на явную несостоятельность идеалистического объяснения преступности лишь как результата «злого умысла» преступников. Объясняя преступность с позиций естественных, биологических наук (анатомии, физиологии, антропологии, генетики), сторонники этой теории (Ч. Ломброзо , Ди Тулио, Э. Кречмер, Ф. А. Ланге и др.) игнорируют социальные причины преступности. См. также Антропологическая школа уголовного права .
Наследуемость
Насле'дуемость, степень обусловленности фенотипической изменчивости какого-либо признака в популяции животных или растений (или их группе) генотипическими различиями между особями (см. Генотип , Изменчивость , Фенотип ). Термин «Н.» предложен в 1939 американским генетиком Дж. Лашем. Общая фенотипическая изменчивость в популяции является суммарным результатом генотипической изменчивости и изменчивости, вызываемой факторами внешней среды. Т. к. степень изменчивости может быть измерена вариансой (т. е. квадратом среднего квадратического отклонения вариант от средней вариационного ряда), то для характеристики Н. применяют популяционно-генетический параметр h2 , или коэффициент Н. Его формула в широком значении:
где sP 2 — общая фенотипическая варианса, sG 2 — генотипическая варианса, определяемая генотипическими различиями между особями, sE 2 — варианса, вызываемая колебаниями внешней среды. Различают также h 1 2 — коэффициент Н. в узком значении:
в этом случае учитывается не вся генотипическая изменчивость, а лишь один её компонент sA 2 — варианса, определяемая различиями по т. н. аддитивным генам (действие таких генов на признак суммируется арифметически). Показатель sA 2 важен для селекции, т.к. отбор происходит в основном по аддитивным генам, или полигенам (см. Полимерия ).
Значения h 2 и h 1 2 выражаются в долях единицы, реже в процентах. Существуют специальные методы определения h 2 , основанные главным образом на установлении фенотипического сходства между особями разной степени родства, для чего используют коэффициенты корреляции , регрессии и др. Коэффициент Н. относится только к популяциям, а не к отдельной особи. Значения h 2 зависят от характера изучаемого признака. Так, более низкие h 2 у признаков, связанных с размножением (например, h 2 плодовитости у овец, свиней и мышей — 0,1—0,2), более высокие — у конституциональных признаков (h 2 длины головы у крупного рогатого скота — 0,6—0,7, складчатости кожи у овец — 0,5—0,8). Для практики важны различия между h 2 хозяйственно-полезных признаков в конкретных стадах разводимых животных и популяциях растений. Однако эти различия могут довольно сильно колебаться в зависимости от условий содержания и кормления животных или агротехнических условий выращивания растений, а также от применяемых методов разведения. Значение h 2 не может быть абсолютно точным, однако существенно, какое это значение — большое, среднее или малое, ибо оно позволяет судить как о генетической структуре популяции, так и о методах селекционной работы, необходимых для достижения наилучших результатов. См. также Селекция .
Лит.: Никоро Р. С., Рокицкий П. Ф., Применение и способы определения коэффициента наследуемости, «Генетика», 1972, т. 8, № 2; Рокицкий П. Ф., Введение в статистическую генетику, Минск, 1974; Falconer D. S., Introduction to quantitative genetics, Edin. — L., 1960.
П. Ф. Рокицкий.